🇳🇴 🇬🇧 🇩🇪 🇨🇿 🇫🇮

Meteor, poloha: Sørreisa 2021-02-22 19:33:23 UTC

Soubor KML  |  InteraktivnĂ­ mapa

Mapa zobrazuje dráhy meteoru. Světlejší čáry ukazují směry od pozorovacích stanic při objevení se meteoru a tmavší čáry, kde byl naposledy viděn. Modrá šipka značí viditelnou dráhu meteoru.

static map
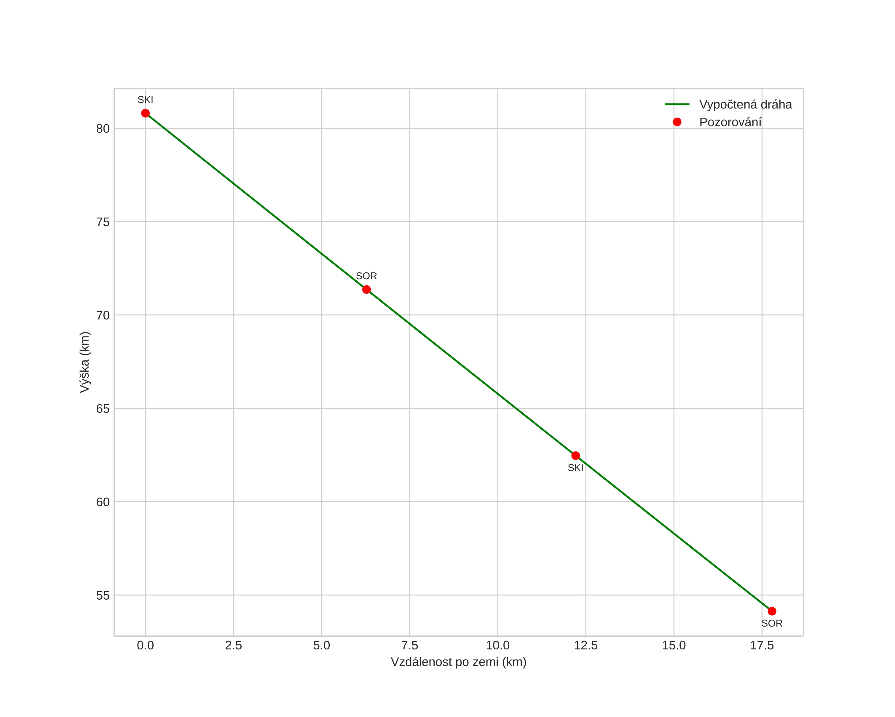
height profile
Atmosférická dráha meteoru:
Počáteční výška: 81,6 km
Konečná výška: 54,6 km
Počáteční poloha: 69,118N 17,858E
Konečná poloha: 69,225N 18,205E
Směr: 49,0°
Sklon: 56,1°
VstupnĂ­ rychlost: 13,8 km/s
Rektascenze radiantu: 04:23 (65,9°)
Deklinace radiantu: 31,5°
MeteorickĂ˝ roj: sporadickĂ˝
Elementy dráhy meteoroidu:
Vzdálenost v periheliu: 0,989 AU
Excentricita: 0,638
Sklon dráhy: 2,1°
Délka vzestupného uzlu: 334,1°
Argument perihelia: 181,5°
Střední anomálie: 359,8°
Epocha: 2021 FEB 22 19:33:23
orbit plot

NeinteraktivnĂ­ graf | InteraktivnĂ­ graf

position vs time
speed and acceleration