🇳🇴 🇬🇧 🇩🇪 🇨🇿 🇫🇮

Meteor Sørreisan yllä 2021-02-22 19:33:23 UTC

KML-tiedosto  |  Interaktiivinen kartta

Kartta näyttää meteorin suuntahavainnot. Vaaleammat viivat näyttävät suunnat havaintoasemilta meteorin ilmestyessä, ja tummemmat viivat näyttävät, missä se viimeksi nähtiin. Sininen nuoli näyttää meteorin näkyvän lennon.

static map
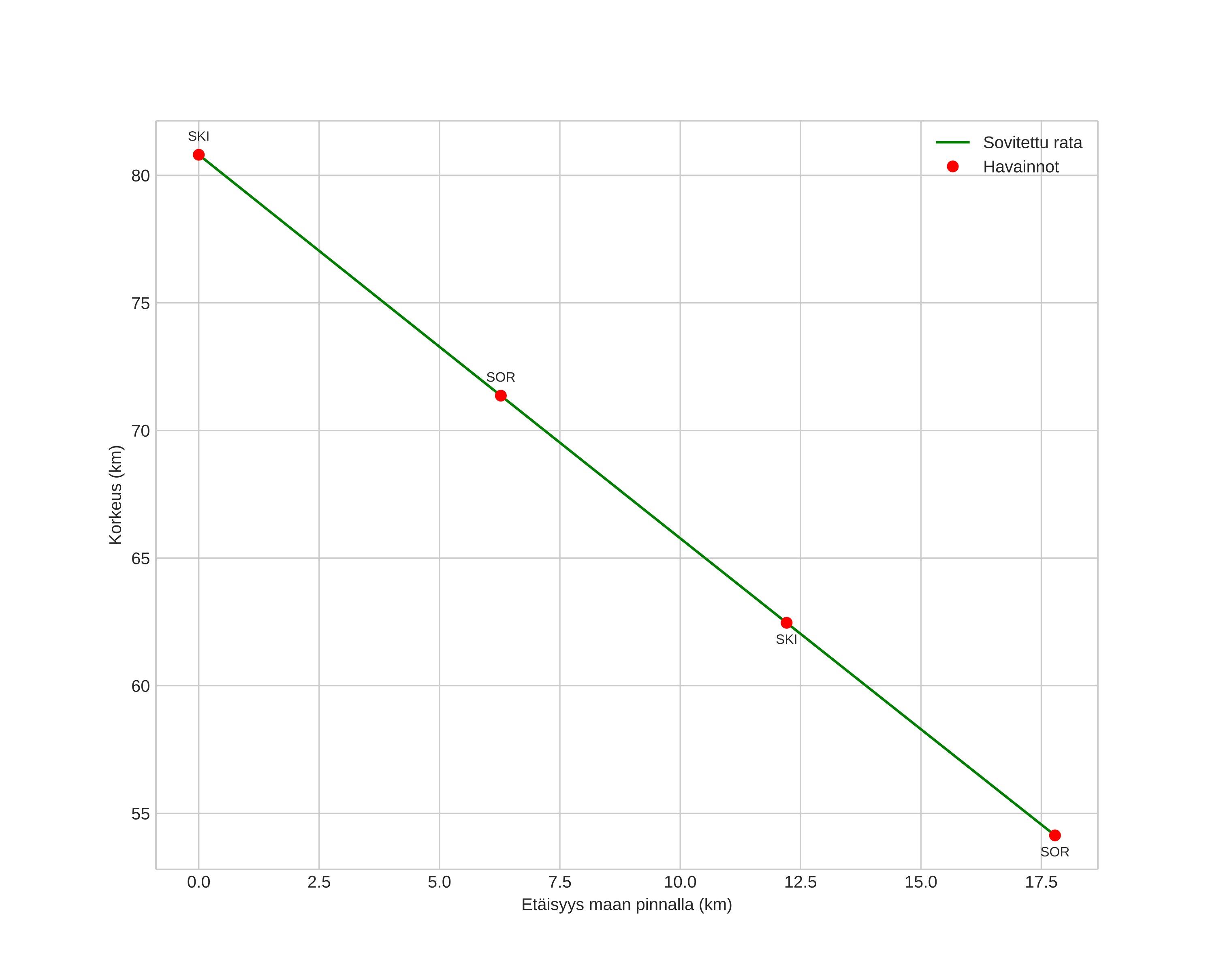
height profile
Meteorin ilmakehärata:
Alkukorkeus: 81,6 km
Loppukorkeus: 54,6 km
Alkupiste: 69,118N 17,858E
Loppupiste: 69,225N 18,205E
Suunta: 49,0°
Kallistuskulma: 56,1°
Tulonopeus: 13,8 km/s
Radiantin R,A,: 04:23 (65,9°)
Radiantin Dekl,: 31,5°
Meteoriparvi: Sporadinen
Meteoroidin rataelementit:
Perihelietäisyys: 0,989 AU
Eksentrisyys: 0,638
Inklinaatio: 2,1°
Nousevan solmun pituus: 334,1°
Perihelin argumentti: 181,5°
Keskianomalia: 359,8°
Epookki: 2021 FEB 22 19:33:23
orbit plot

Ei-interaktiivinen kuvaaja | Interaktiivinen kuvaaja

position vs time
speed and acceleration