🇳🇴 🇬🇧 🇩🇪 🇨🇿 🇫🇮

Meteor, poloha: Tanumshede 2021-03-02 18:18:28 UTC

Soubor KML  |  InteraktivnĂ­ mapa

Mapa zobrazuje dráhy meteoru. Světlejší čáry ukazují směry od pozorovacích stanic při objevení se meteoru a tmavší čáry, kde byl naposledy viděn. Modrá šipka značí viditelnou dráhu meteoru.

static map
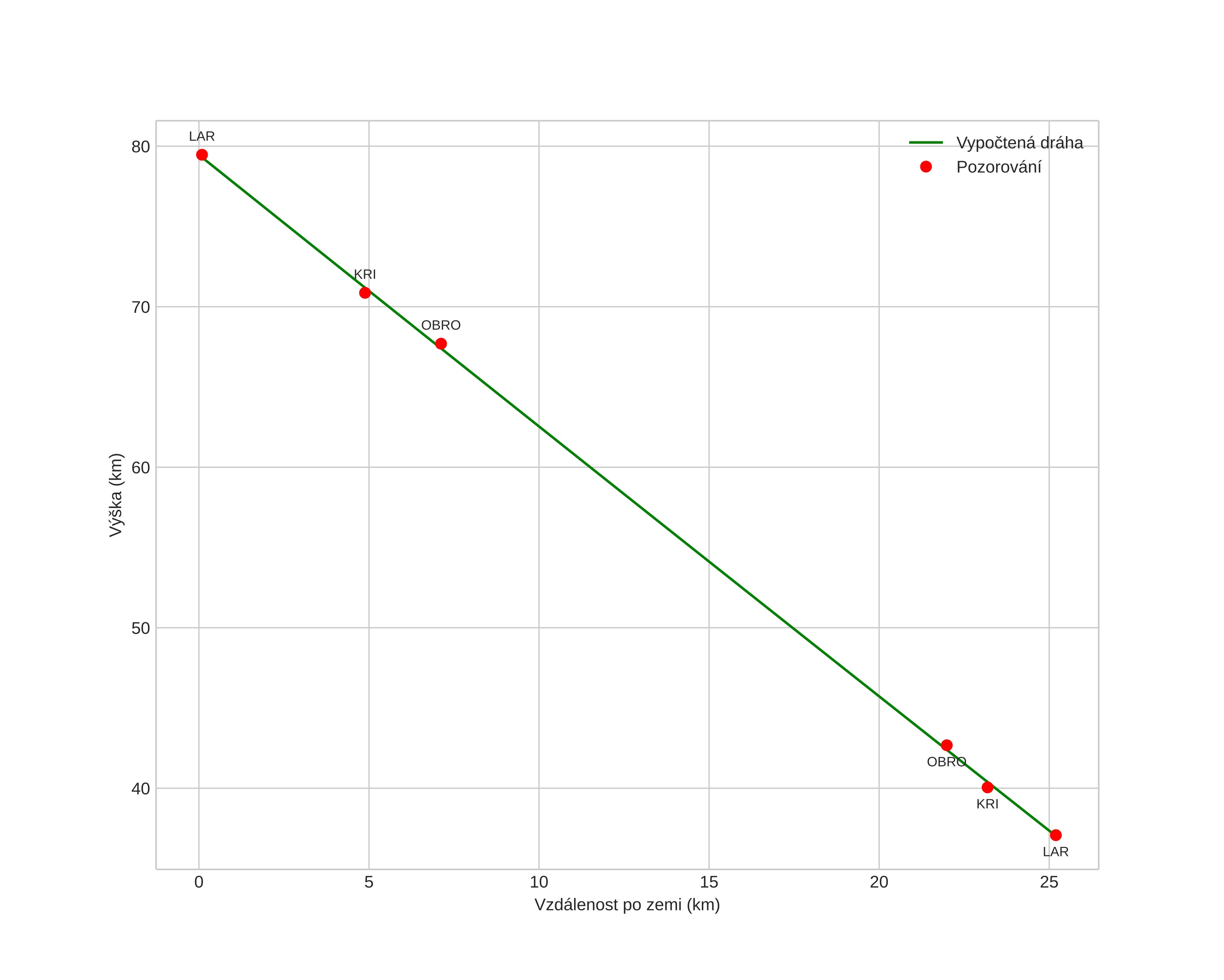
height profile
Atmosférická dráha meteoru:
Počáteční výška: 82,0 km
Konečná výška: 37,7 km
Počáteční poloha: 58,773N 11,813E
Konečná poloha: 58,835N 11,371E
Směr: 285,3°
Sklon: 59,2°
VstupnĂ­ rychlost: 17,2 km/s
Rektascenze radiantu: 08:43 (130,8°)
Deklinace radiantu: 38,8°
MeteorickĂ˝ roj: sporadickĂ˝
Elementy dráhy meteoroidu:
Vzdálenost v periheliu: 0,929 AU
Excentricita: 0,723
Sklon dráhy: 6,7°
Délka vzestupného uzlu: 342,1°
Argument perihelia: 211,9°
Střední anomálie: 356,3°
Epocha: 2021 MAR 02 18:18:28
orbit plot

NeinteraktivnĂ­ graf | InteraktivnĂ­ graf

position vs time
speed and acceleration