🇳🇴 🇬🇧 🇩🇪 🇨🇿 🇫🇮

Meteor über Tanumshede 2021-03-02 18:18:28 UTC

KML-Datei  |  Interaktive Karte

Die Karte zeigt die Peilungen für den Meteor. Die helleren Linien zeigen die Richtungen von den Beobachtungsorten beim Erscheinen des Meteors, und die dunkleren Linien, wo er zuletzt gesehen wurde. Der blaue Pfeil zeigt die sichtbare Bahn des Meteors.

static map
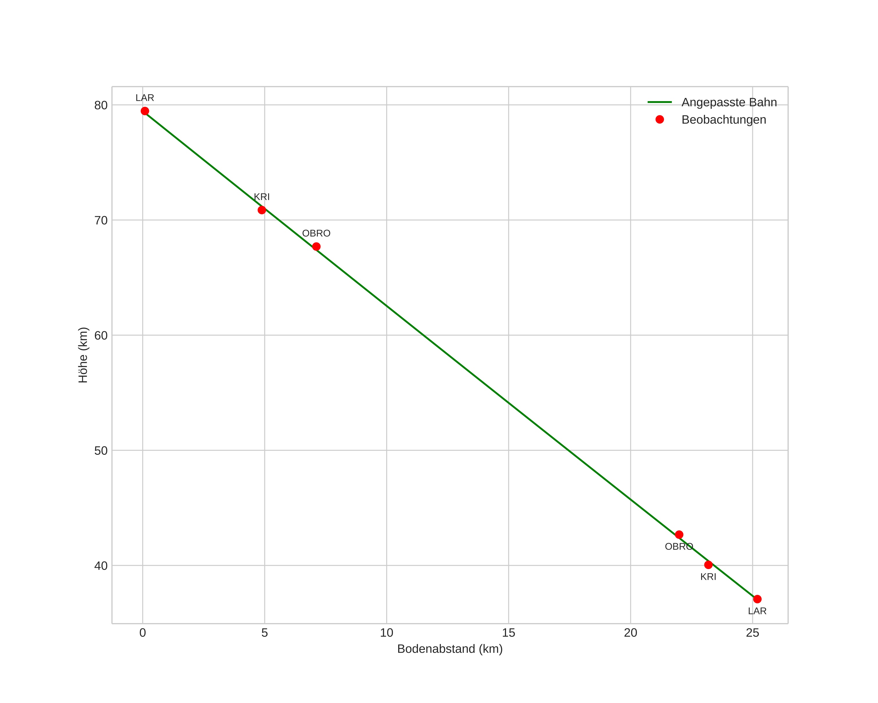
height profile
Atmosphärische Bahn des Meteors:
Anfangshöhe: 82,0 km
Endhöhe: 37,7 km
Startposition: 58,773N 11,813E
Endposition: 58,835N 11,371E
Richtung: 285,3°
Neigungswinkel: 59,2°
Eintrittsgeschwindigkeit: 17,2 km/s
Rektaszension des Radianten: 08:43 (130,8°)
Deklination des Radianten: 38,8°
Meteorstrom: sporadisch
Bahnelemente des Meteoroiden:
Periheldistanz: 0,929 AU
Exzentrizität: 0,723
Inklination: 6,7°
Länge des aufsteigenden Knotens: 342,1°
Argument des Perihels: 211,9°
Mittlere Anomalie: 356,3°
Epoche: 2021 MAR 02 18:18:28
orbit plot

Nicht-interaktives Diagramm | Interaktives Diagramm

position vs time
speed and acceleration