🇳🇴 🇬🇧 🇩🇪 🇨🇿 🇫🇮

Meteor, poloha: Ekshärad 2021-03-04 21:23:28 UTC

Soubor KML  |  InteraktivnĂ­ mapa

Mapa zobrazuje dráhy meteoru. Světlejší čáry ukazují směry od pozorovacích stanic při objevení se meteoru a tmavší čáry, kde byl naposledy viděn. Modrá šipka značí viditelnou dráhu meteoru.

static map
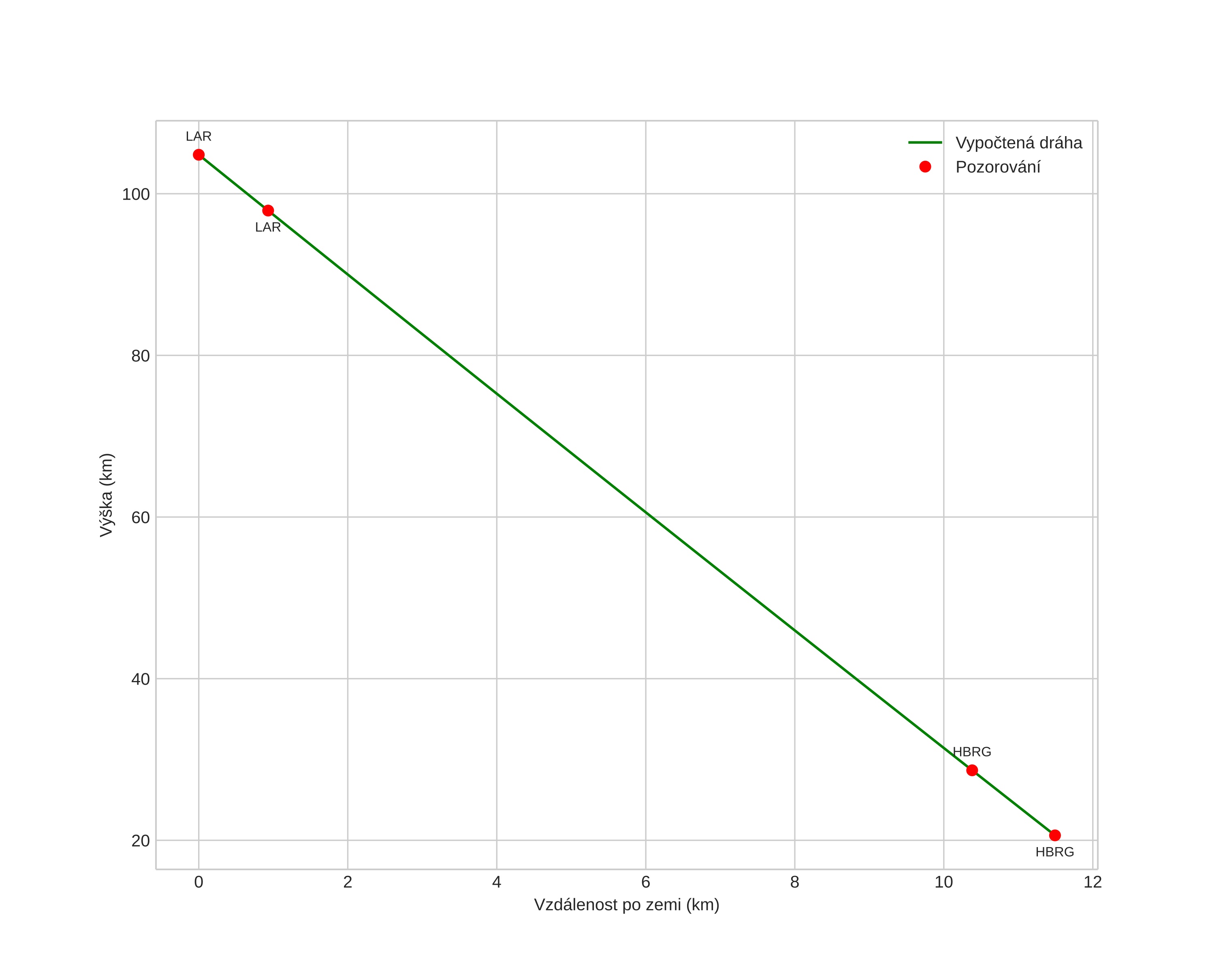
height profile
Atmosférická dráha meteoru:
Počáteční výška: 86,9 km
Konečná výška: 74,8 km
Počáteční poloha: 60,079N 13,546E
Konečná poloha: 60,010N 13,324E
Směr: 237,9°
Sklon: 39,7°
VstupnĂ­ rychlost: 53,1 km/s
Rektascenze radiantu: 15:22 (230,7°)
Deklinace radiantu: 49,1°
MeteorickĂ˝ roj: sporadickĂ˝
Elementy dráhy meteoroidu:
Vzdálenost v periheliu: 0,902 AU
Excentricita: 1,946
Sklon dráhy: 70,9°
Délka vzestupného uzlu: 344,2°
Argument perihelia: 210,3°
Střední anomálie: -17,3°
Epocha: 2021 MAR 04 21:23:28
orbit plot

NeinteraktivnĂ­ graf | InteraktivnĂ­ graf

position vs time
speed and acceleration