🇳🇴 🇬🇧 🇩🇪 🇨🇿 🇫🇮

Meteor Ekshäradin yllä 2021-03-04 21:23:28 UTC

KML-tiedosto  |  Interaktiivinen kartta

Kartta näyttää meteorin suuntahavainnot. Vaaleammat viivat näyttävät suunnat havaintoasemilta meteorin ilmestyessä, ja tummemmat viivat näyttävät, missä se viimeksi nähtiin. Sininen nuoli näyttää meteorin näkyvän lennon.

static map
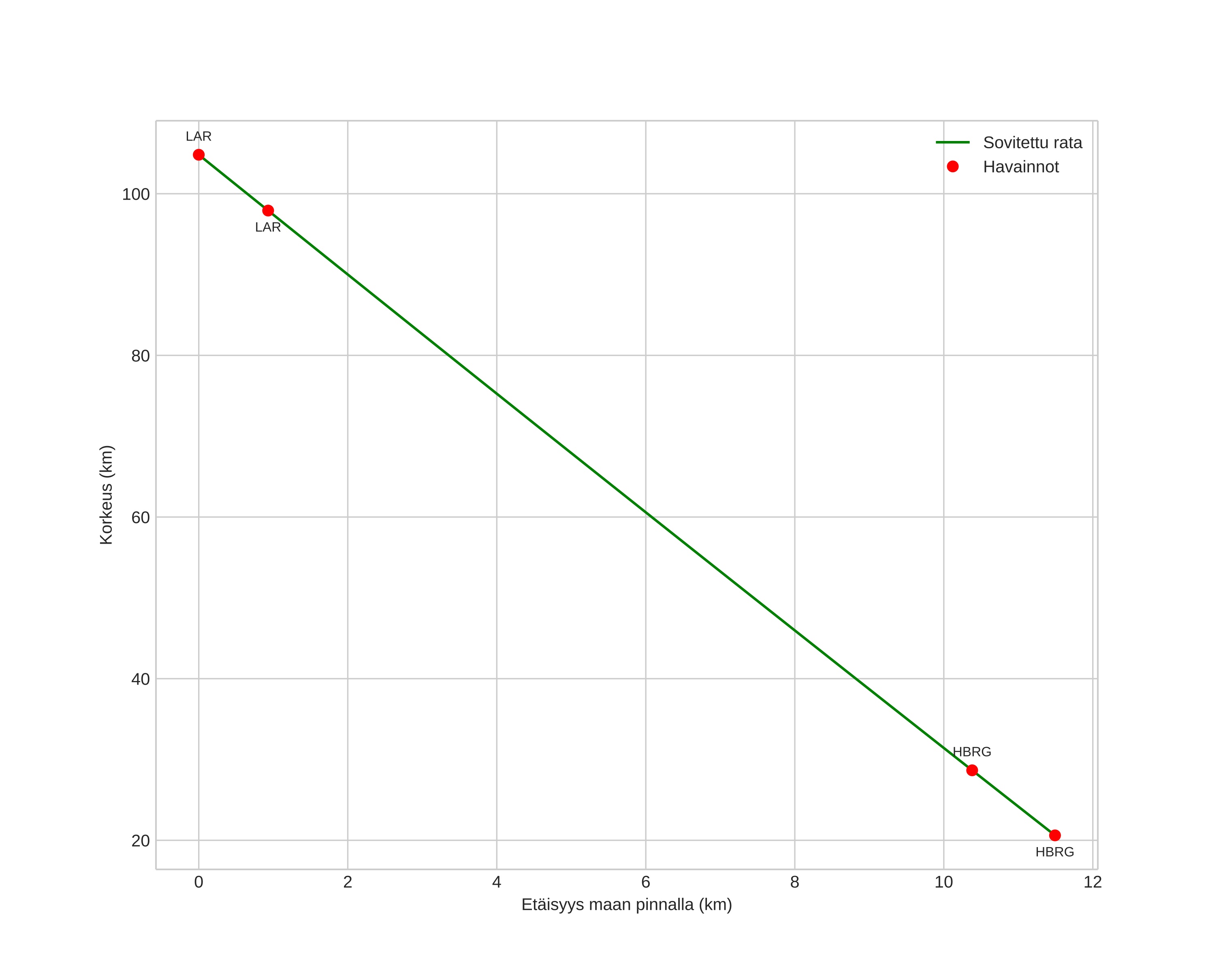
height profile
Meteorin ilmakehärata:
Alkukorkeus: 86,9 km
Loppukorkeus: 74,8 km
Alkupiste: 60,079N 13,546E
Loppupiste: 60,010N 13,324E
Suunta: 237,9°
Kallistuskulma: 39,7°
Tulonopeus: 53,1 km/s
Radiantin R,A,: 15:22 (230,7°)
Radiantin Dekl,: 49,1°
Meteoriparvi: Sporadinen
Meteoroidin rataelementit:
Perihelietäisyys: 0,902 AU
Eksentrisyys: 1,946
Inklinaatio: 70,9°
Nousevan solmun pituus: 344,2°
Perihelin argumentti: 210,3°
Keskianomalia: -17,3°
Epookki: 2021 MAR 04 21:23:28
orbit plot

Ei-interaktiivinen kuvaaja | Interaktiivinen kuvaaja

position vs time
speed and acceleration