🇳🇴 🇬🇧 🇩🇪 🇨🇿 🇫🇮

Meteor, poloha: Teigebyen 2021-03-05 04:03:14 UTC

Soubor KML  |  InteraktivnĂ­ mapa

Mapa zobrazuje dráhy meteoru. Světlejší čáry ukazují směry od pozorovacích stanic při objevení se meteoru a tmavší čáry, kde byl naposledy viděn. Modrá šipka značí viditelnou dráhu meteoru.

static map
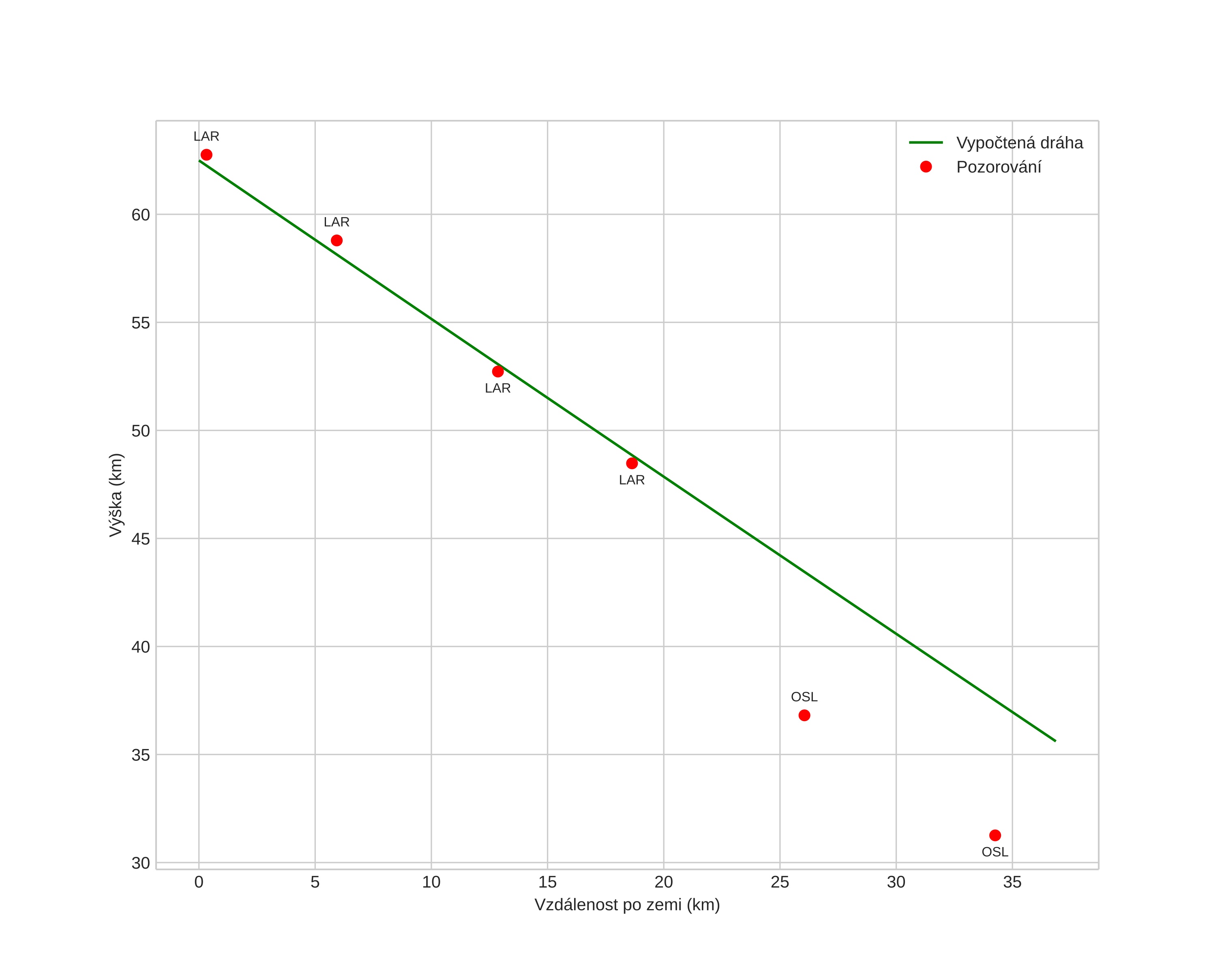
height profile
Atmosférická dráha meteoru:
Počáteční výška: 60,0 km
Konečná výška: 44,2 km
Počáteční poloha: 59,856N 11,176E
Konečná poloha: 60,238N 11,020E
Směr: 348,5°
Sklon: 20,0°
VstupnĂ­ rychlost: 30,6 km/s
Rektascenze radiantu: 16:21 (245,5°)
Deklinace radiantu: -12,4°
MeteorickĂ˝ roj: sporadickĂ˝
Elementy dráhy meteoroidu:
Vzdálenost v periheliu: 0,014 AU
Excentricita: 0,972
Sklon dráhy: 63,5°
Délka vzestupného uzlu: 344,5°
Argument perihelia: 358,7°
Střední anomálie: 200,8°
Epocha: 2021 MAR 05 04:03:14
orbit plot

NeinteraktivnĂ­ graf | InteraktivnĂ­ graf

position vs time
speed and acceleration