🇳🇴 🇬🇧 🇩🇪 🇨🇿 🇫🇮

Meteor Teigebyenin yllä 2021-03-05 04:03:14 UTC

KML-tiedosto  |  Interaktiivinen kartta

Kartta näyttää meteorin suuntahavainnot. Vaaleammat viivat näyttävät suunnat havaintoasemilta meteorin ilmestyessä, ja tummemmat viivat näyttävät, missä se viimeksi nähtiin. Sininen nuoli näyttää meteorin näkyvän lennon.

static map
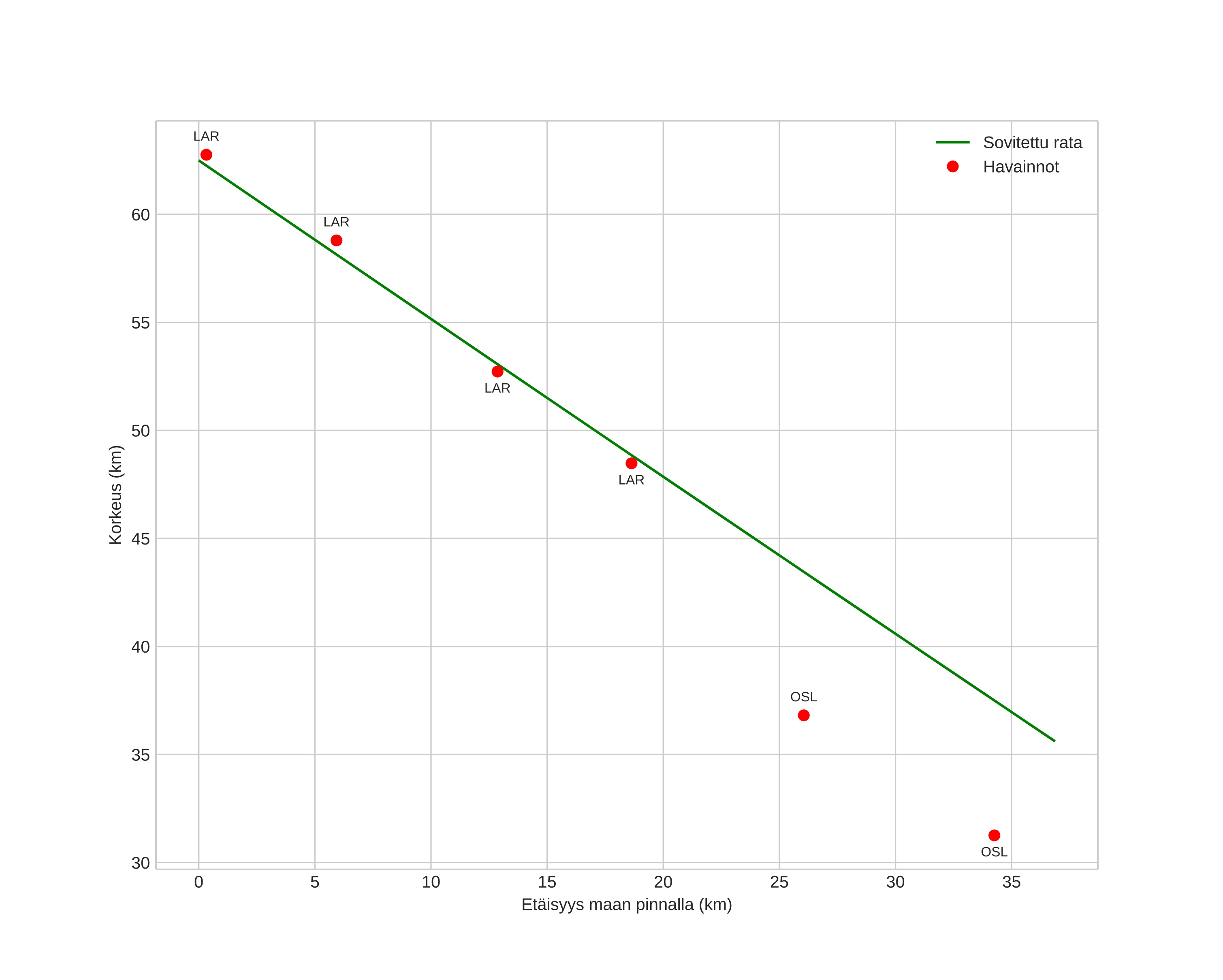
height profile
Meteorin ilmakehärata:
Alkukorkeus: 60,0 km
Loppukorkeus: 44,2 km
Alkupiste: 59,856N 11,176E
Loppupiste: 60,238N 11,020E
Suunta: 348,5°
Kallistuskulma: 20,0°
Tulonopeus: 30,6 km/s
Radiantin R,A,: 16:21 (245,5°)
Radiantin Dekl,: -12,4°
Meteoriparvi: Sporadinen
Meteoroidin rataelementit:
Perihelietäisyys: 0,014 AU
Eksentrisyys: 0,972
Inklinaatio: 63,5°
Nousevan solmun pituus: 344,5°
Perihelin argumentti: 358,7°
Keskianomalia: 200,8°
Epookki: 2021 MAR 05 04:03:14
orbit plot

Ei-interaktiivinen kuvaaja | Interaktiivinen kuvaaja

position vs time
speed and acceleration