🇳🇴 🇬🇧 🇩🇪 🇨🇿 🇫🇮

Meteor, poloha: Horten 2021-03-05 18:40:00 UTC

Soubor KML  |  InteraktivnĂ­ mapa

Mapa zobrazuje dráhy meteoru. Světlejší čáry ukazují směry od pozorovacích stanic při objevení se meteoru a tmavší čáry, kde byl naposledy viděn. Modrá šipka značí viditelnou dráhu meteoru.

static map
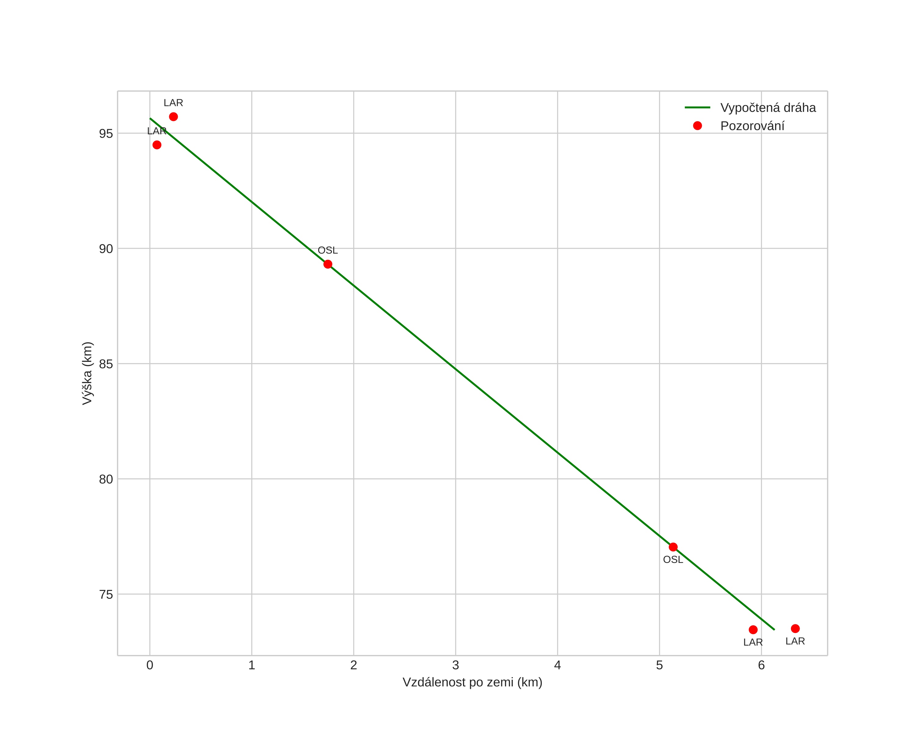
height profile
Atmosférická dráha meteoru:
Počáteční výška: 94,6 km
Konečná výška: 72,4 km
Počáteční poloha: 59,463N 10,419E
Konečná poloha: 59,411N 10,458E
Směr: 159,0°
Sklon: 74,4°
VstupnĂ­ rychlost: 16,3 km/s
Rektascenze radiantu: 04:20 (65,0°)
Deklinace radiantu: 74,4°
MeteorickĂ˝ roj: sporadickĂ˝
Elementy dráhy meteoroidu:
Vzdálenost v periheliu: 0,992 AU
Excentricita: 0,665
Sklon dráhy: 14,2°
Délka vzestupného uzlu: 345,1°
Argument perihelia: 180,4°
Střední anomálie: 359,9°
Epocha: 2021 MAR 05 18:40:00
orbit plot

NeinteraktivnĂ­ graf | InteraktivnĂ­ graf

position vs time
speed and acceleration