🇳🇴 🇬🇧 🇩🇪 🇨🇿 🇫🇮

Meteor Hortenin yllä 2021-03-05 18:40:00 UTC

KML-tiedosto  |  Interaktiivinen kartta

Kartta näyttää meteorin suuntahavainnot. Vaaleammat viivat näyttävät suunnat havaintoasemilta meteorin ilmestyessä, ja tummemmat viivat näyttävät, missä se viimeksi nähtiin. Sininen nuoli näyttää meteorin näkyvän lennon.

static map
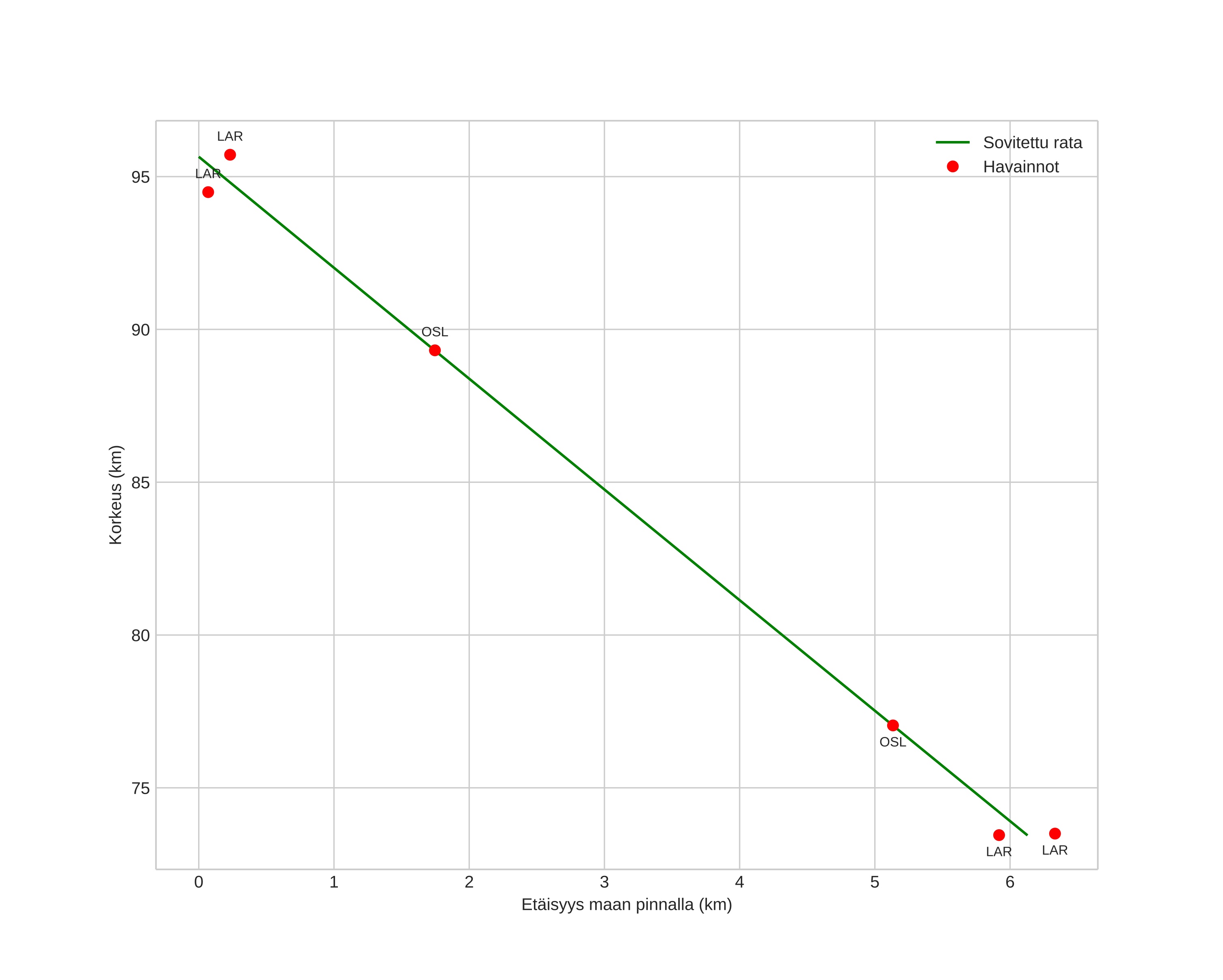
height profile
Meteorin ilmakehärata:
Alkukorkeus: 94,6 km
Loppukorkeus: 72,4 km
Alkupiste: 59,463N 10,419E
Loppupiste: 59,411N 10,458E
Suunta: 159,0°
Kallistuskulma: 74,4°
Tulonopeus: 16,3 km/s
Radiantin R,A,: 04:20 (65,0°)
Radiantin Dekl,: 74,4°
Meteoriparvi: Sporadinen
Meteoroidin rataelementit:
Perihelietäisyys: 0,992 AU
Eksentrisyys: 0,665
Inklinaatio: 14,2°
Nousevan solmun pituus: 345,1°
Perihelin argumentti: 180,4°
Keskianomalia: 359,9°
Epookki: 2021 MAR 05 18:40:00
orbit plot

Ei-interaktiivinen kuvaaja | Interaktiivinen kuvaaja

position vs time
speed and acceleration