🇳🇴 🇬🇧 🇩🇪 🇨🇿 🇫🇮

Meteor, poloha: Byrum 2021-03-06 01:25:01 UTC

Soubor KML  |  InteraktivnĂ­ mapa

Mapa zobrazuje dráhy meteoru. Světlejší čáry ukazují směry od pozorovacích stanic při objevení se meteoru a tmavší čáry, kde byl naposledy viděn. Modrá šipka značí viditelnou dráhu meteoru.

static map
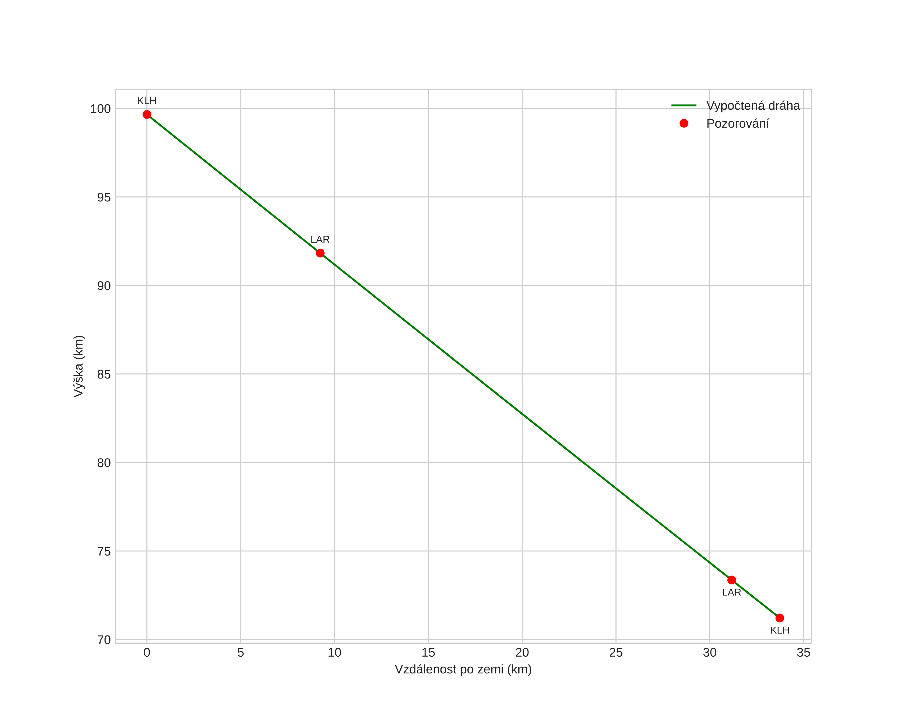
height profile
Atmosférická dráha meteoru:
Počáteční výška: 99,1 km
Konečná výška: 70,8 km
Počáteční poloha: 56,811N 10,511E
Konečná poloha: 57,083N 10,751E
Směr: 25,6°
Sklon: 40,1°
VstupnĂ­ rychlost: 34,3 km/s
Rektascenze radiantu: 11:40 (175,1°)
Deklinace radiantu: 7,9°
MeteorickĂ˝ roj: sporadickĂ˝
Elementy dráhy meteoroidu:
Vzdálenost v periheliu: 0,390 AU
Excentricita: 0,961
Sklon dráhy: 6,6°
Délka vzestupného uzlu: 345,4°
Argument perihelia: 283,8°
Střední anomálie: 358,8°
Epocha: 2021 MAR 06 01:25:01
orbit plot

NeinteraktivnĂ­ graf | InteraktivnĂ­ graf

position vs time
speed and acceleration