🇳🇴 🇬🇧 🇩🇪 🇨🇿 🇫🇮

Meteor Byrumin yllä 2021-03-06 01:25:01 UTC

KML-tiedosto  |  Interaktiivinen kartta

Kartta näyttää meteorin suuntahavainnot. Vaaleammat viivat näyttävät suunnat havaintoasemilta meteorin ilmestyessä, ja tummemmat viivat näyttävät, missä se viimeksi nähtiin. Sininen nuoli näyttää meteorin näkyvän lennon.

static map
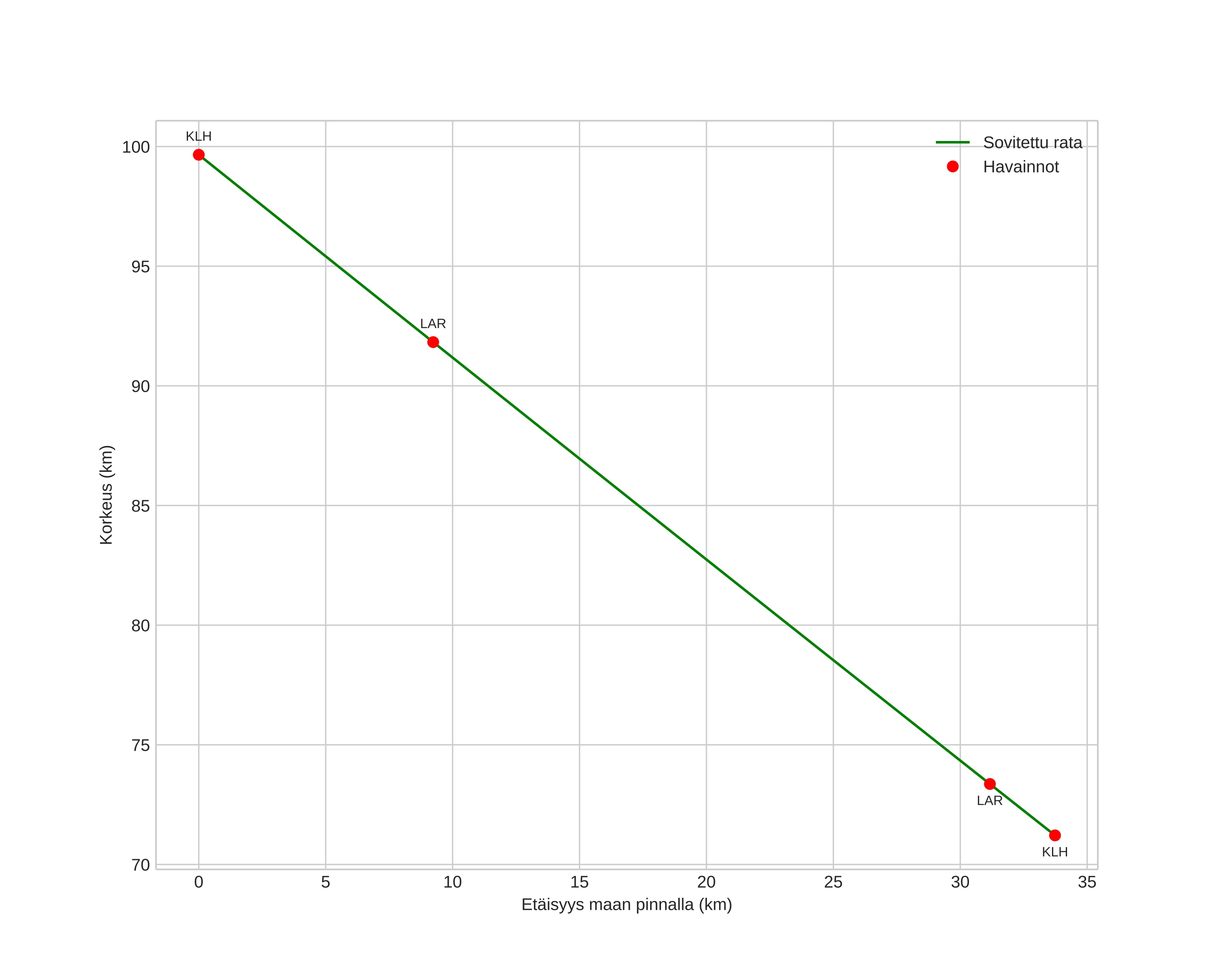
height profile
Meteorin ilmakehärata:
Alkukorkeus: 99,1 km
Loppukorkeus: 70,8 km
Alkupiste: 56,811N 10,511E
Loppupiste: 57,083N 10,751E
Suunta: 25,6°
Kallistuskulma: 40,1°
Tulonopeus: 34,3 km/s
Radiantin R,A,: 11:40 (175,1°)
Radiantin Dekl,: 7,9°
Meteoriparvi: Sporadinen
Meteoroidin rataelementit:
Perihelietäisyys: 0,390 AU
Eksentrisyys: 0,961
Inklinaatio: 6,6°
Nousevan solmun pituus: 345,4°
Perihelin argumentti: 283,8°
Keskianomalia: 358,8°
Epookki: 2021 MAR 06 01:25:01
orbit plot

Ei-interaktiivinen kuvaaja | Interaktiivinen kuvaaja

position vs time
speed and acceleration