🇳🇴 🇬🇧 🇩🇪 🇨🇿 🇫🇮

Meteor, poloha: Mjøndalen 2021-03-08 20:11:34 UTC

Soubor KML  |  InteraktivnĂ­ mapa

Mapa zobrazuje dráhy meteoru. Světlejší čáry ukazují směry od pozorovacích stanic při objevení se meteoru a tmavší čáry, kde byl naposledy viděn. Modrá šipka značí viditelnou dráhu meteoru.

static map
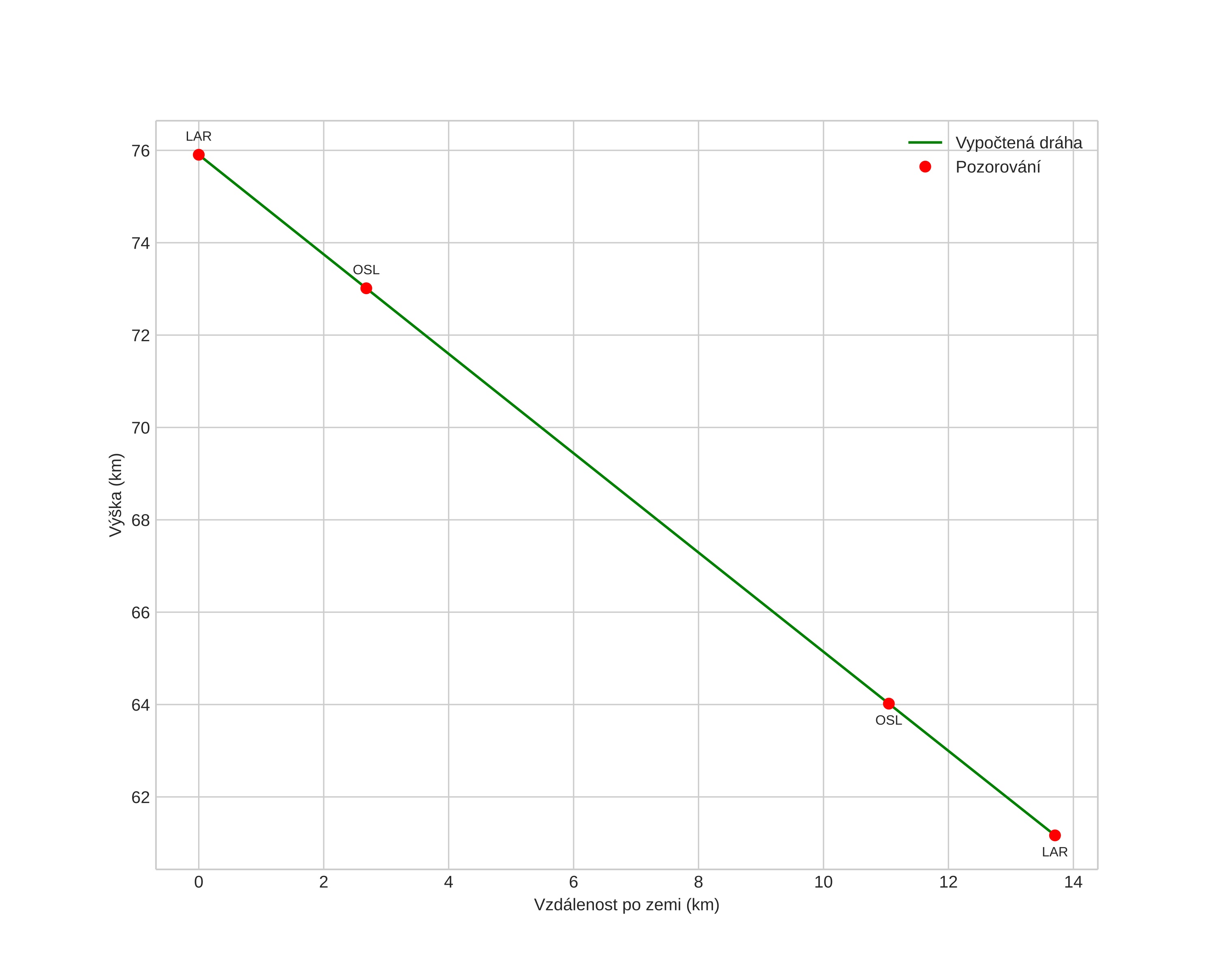
height profile
Atmosférická dráha meteoru:
Počáteční výška: 77,3 km
Konečná výška: 61,1 km
Počáteční poloha: 59,607N 10,203E
Konečná poloha: 59,731N 10,099E
Směr: 337,0°
Sklon: 47,2°
VstupnĂ­ rychlost: 15,0 km/s
Rektascenze radiantu: 09:06 (136,5°)
Deklinace radiantu: 9,8°
MeteorickĂ˝ roj: sporadickĂ˝
Elementy dráhy meteoroidu:
Vzdálenost v periheliu: 0,921 AU
Excentricita: 0,502
Sklon dráhy: 1,8°
Délka vzestupného uzlu: 168,2°
Argument perihelia: 38,4°
Střední anomálie: 348,4°
Epocha: 2021 MAR 08 20:11:34
orbit plot

NeinteraktivnĂ­ graf | InteraktivnĂ­ graf

position vs time
speed and acceleration