🇳🇴 🇬🇧 🇩🇪 🇨🇿 🇫🇮

Meteor Mjøndalenin yllä 2021-03-08 20:11:34 UTC

KML-tiedosto  |  Interaktiivinen kartta

Kartta näyttää meteorin suuntahavainnot. Vaaleammat viivat näyttävät suunnat havaintoasemilta meteorin ilmestyessä, ja tummemmat viivat näyttävät, missä se viimeksi nähtiin. Sininen nuoli näyttää meteorin näkyvän lennon.

static map
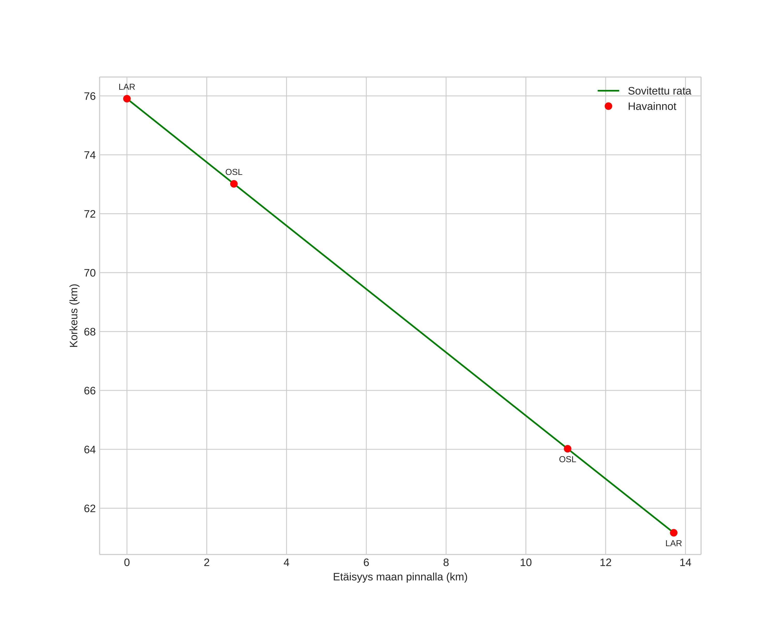
height profile
Meteorin ilmakehärata:
Alkukorkeus: 77,3 km
Loppukorkeus: 61,1 km
Alkupiste: 59,607N 10,203E
Loppupiste: 59,731N 10,099E
Suunta: 337,0°
Kallistuskulma: 47,2°
Tulonopeus: 15,0 km/s
Radiantin R,A,: 09:06 (136,5°)
Radiantin Dekl,: 9,8°
Meteoriparvi: Sporadinen
Meteoroidin rataelementit:
Perihelietäisyys: 0,921 AU
Eksentrisyys: 0,502
Inklinaatio: 1,8°
Nousevan solmun pituus: 168,2°
Perihelin argumentti: 38,4°
Keskianomalia: 348,4°
Epookki: 2021 MAR 08 20:11:34
orbit plot

Ei-interaktiivinen kuvaaja | Interaktiivinen kuvaaja

position vs time
speed and acceleration