🇳🇴 🇬🇧 🇩🇪 🇨🇿 🇫🇮

Meteor, poloha: Stavern 2021-03-12 01:37:01 UTC

Soubor KML  |  InteraktivnĂ­ mapa

Mapa zobrazuje dráhy meteoru. Světlejší čáry ukazují směry od pozorovacích stanic při objevení se meteoru a tmavší čáry, kde byl naposledy viděn. Modrá šipka značí viditelnou dráhu meteoru.

static map
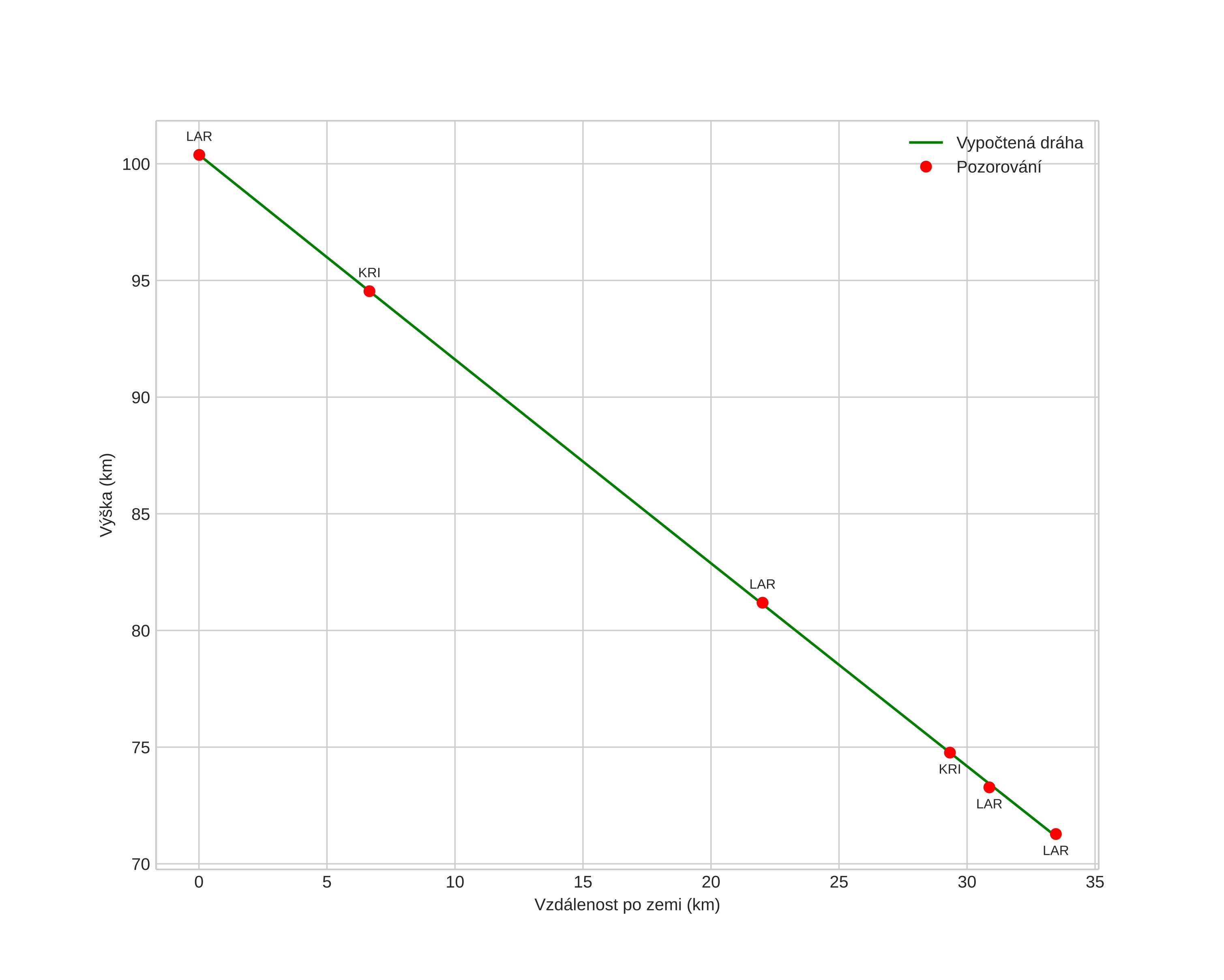
height profile
Atmosférická dráha meteoru:
Počáteční výška: 100,7 km
Konečná výška: 71,8 km
Počáteční poloha: 58,776N 10,771E
Konečná poloha: 58,572N 10,357E
Směr: 226,8°
Sklon: 41,2°
VstupnĂ­ rychlost: 29,8 km/s
Rektascenze radiantu: 20:29 (307,3°)
Deklinace radiantu: 55,0°
MeteorickĂ˝ roj: sporadickĂ˝
Elementy dráhy meteoroidu:
Vzdálenost v periheliu: 0,920 AU
Excentricita: 0,809
Sklon dráhy: 41,7°
Délka vzestupného uzlu: 351,4°
Argument perihelia: 146,5°
Střední anomálie: 2,2°
Epocha: 2021 MAR 12 01:37:01
orbit plot

NeinteraktivnĂ­ graf | InteraktivnĂ­ graf

position vs time
speed and acceleration