🇳🇴 🇬🇧 🇩🇪 🇨🇿 🇫🇮

Meteor Stavernin yllä 2021-03-12 01:37:01 UTC

KML-tiedosto  |  Interaktiivinen kartta

Kartta näyttää meteorin suuntahavainnot. Vaaleammat viivat näyttävät suunnat havaintoasemilta meteorin ilmestyessä, ja tummemmat viivat näyttävät, missä se viimeksi nähtiin. Sininen nuoli näyttää meteorin näkyvän lennon.

static map
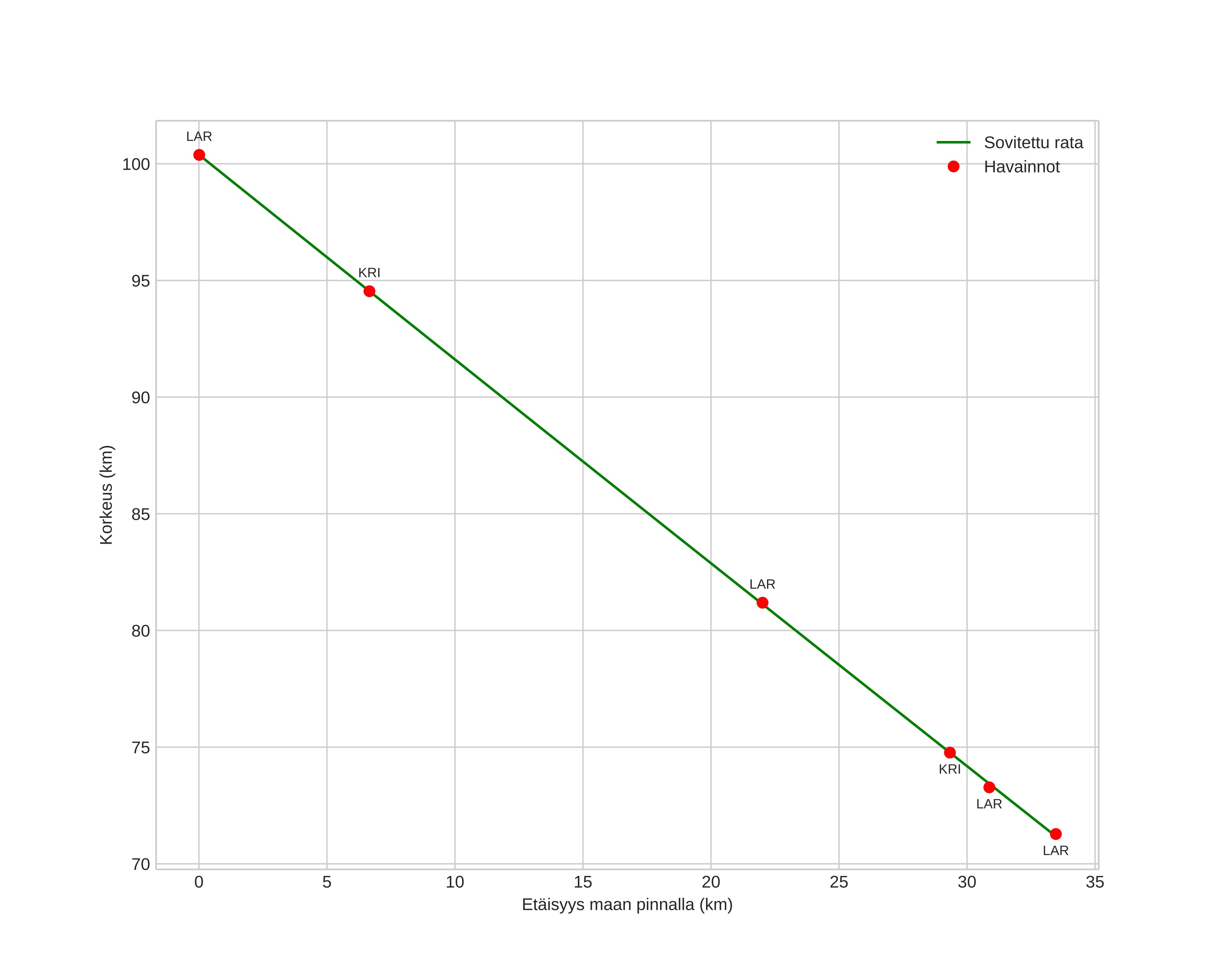
height profile
Meteorin ilmakehärata:
Alkukorkeus: 100,7 km
Loppukorkeus: 71,8 km
Alkupiste: 58,776N 10,771E
Loppupiste: 58,572N 10,357E
Suunta: 226,8°
Kallistuskulma: 41,2°
Tulonopeus: 29,8 km/s
Radiantin R,A,: 20:29 (307,3°)
Radiantin Dekl,: 55,0°
Meteoriparvi: Sporadinen
Meteoroidin rataelementit:
Perihelietäisyys: 0,920 AU
Eksentrisyys: 0,809
Inklinaatio: 41,7°
Nousevan solmun pituus: 351,4°
Perihelin argumentti: 146,5°
Keskianomalia: 2,2°
Epookki: 2021 MAR 12 01:37:01
orbit plot

Ei-interaktiivinen kuvaaja | Interaktiivinen kuvaaja

position vs time
speed and acceleration