🇳🇴 🇬🇧 🇩🇪 🇨🇿 🇫🇮

Meteor, poloha: Österbybruk 2021-03-16 18:09:47 UTC

Soubor KML  |  Interaktivní mapa

Mapa zobrazuje dráhy meteoru. Světlejší čáry ukazují směry od pozorovacích stanic při objevení se meteoru a tmavší čáry, kde byl naposledy viděn. Modrá šipka značí viditelnou dráhu meteoru.

static map
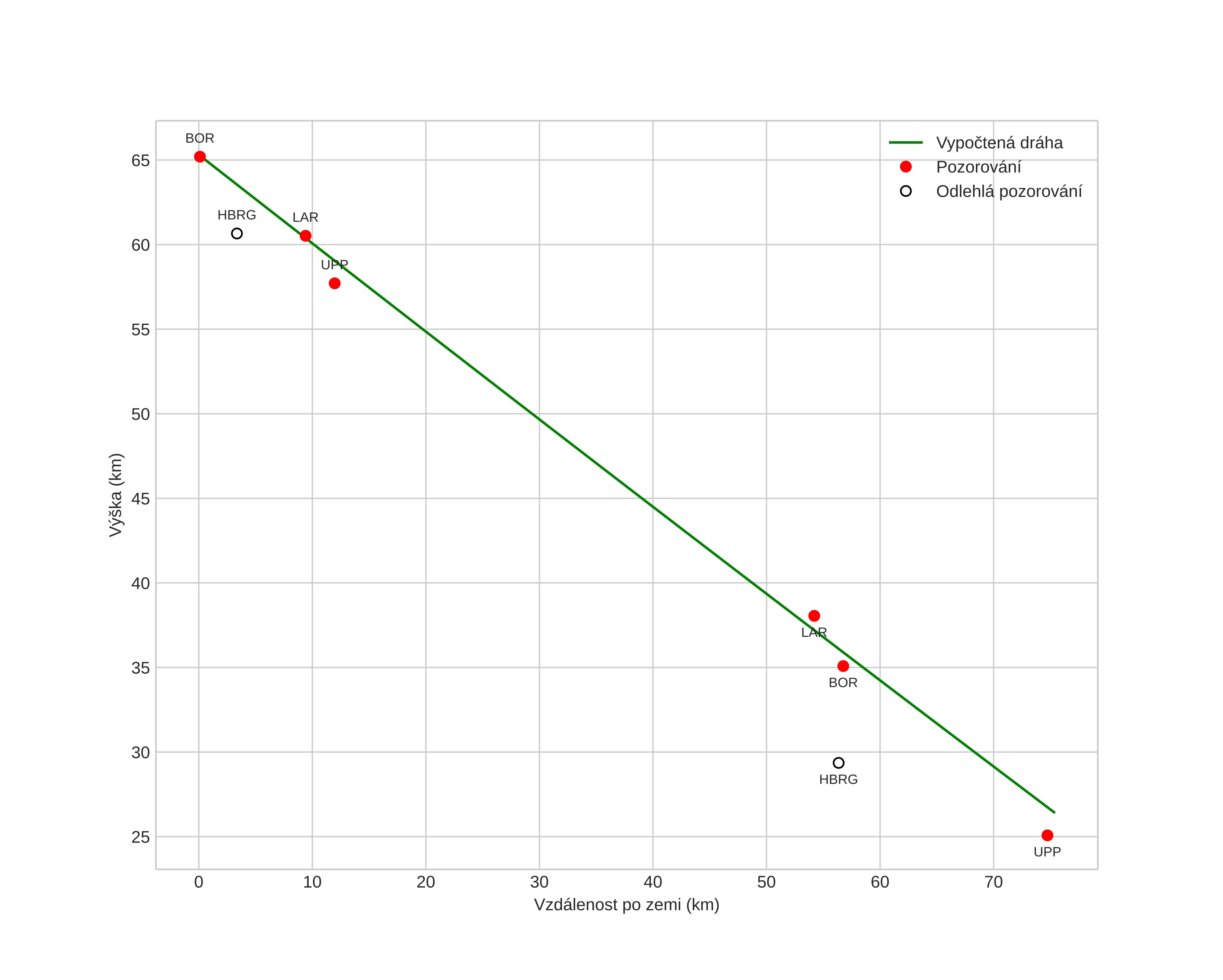
height profile
Atmosférická dráha meteoru:
Počáteční výška: 65,3 km
Konečná výška: 26,4 km
Počáteční poloha: 60,890N 17,217E
Konečná poloha: 60,345N 18,037E
Směr: 143,3°
Sklon: 27,3°
Vstupní rychlost: 11,8 km/s
Rektascenze radiantu: 21:34 (323,5°)
Deklinace radiantu: 17,2°
Meteorický roj: sporadický
Elementy dráhy meteoroidu:
Vzdálenost v periheliu: 0,791 AU
Excentricita: 0,150
Sklon dráhy: 4,2°
Délka vzestupného uzlu: 356,1°
Argument perihelia: 54,8°
Střední anomálie: 110,2°
Epocha: 2021 MAR 16 18:09:47
orbit plot

Neinteraktivní graf | Interaktivní graf

position vs time
speed and acceleration