🇳🇴 🇬🇧 🇩🇪 🇨🇿 🇫🇮

Meteor Österbybrukin yllä 2021-03-16 18:09:47 UTC

KML-tiedosto  |  Interaktiivinen kartta

Kartta näyttää meteorin suuntahavainnot. Vaaleammat viivat näyttävät suunnat havaintoasemilta meteorin ilmestyessä, ja tummemmat viivat näyttävät, missä se viimeksi nähtiin. Sininen nuoli näyttää meteorin näkyvän lennon.

static map
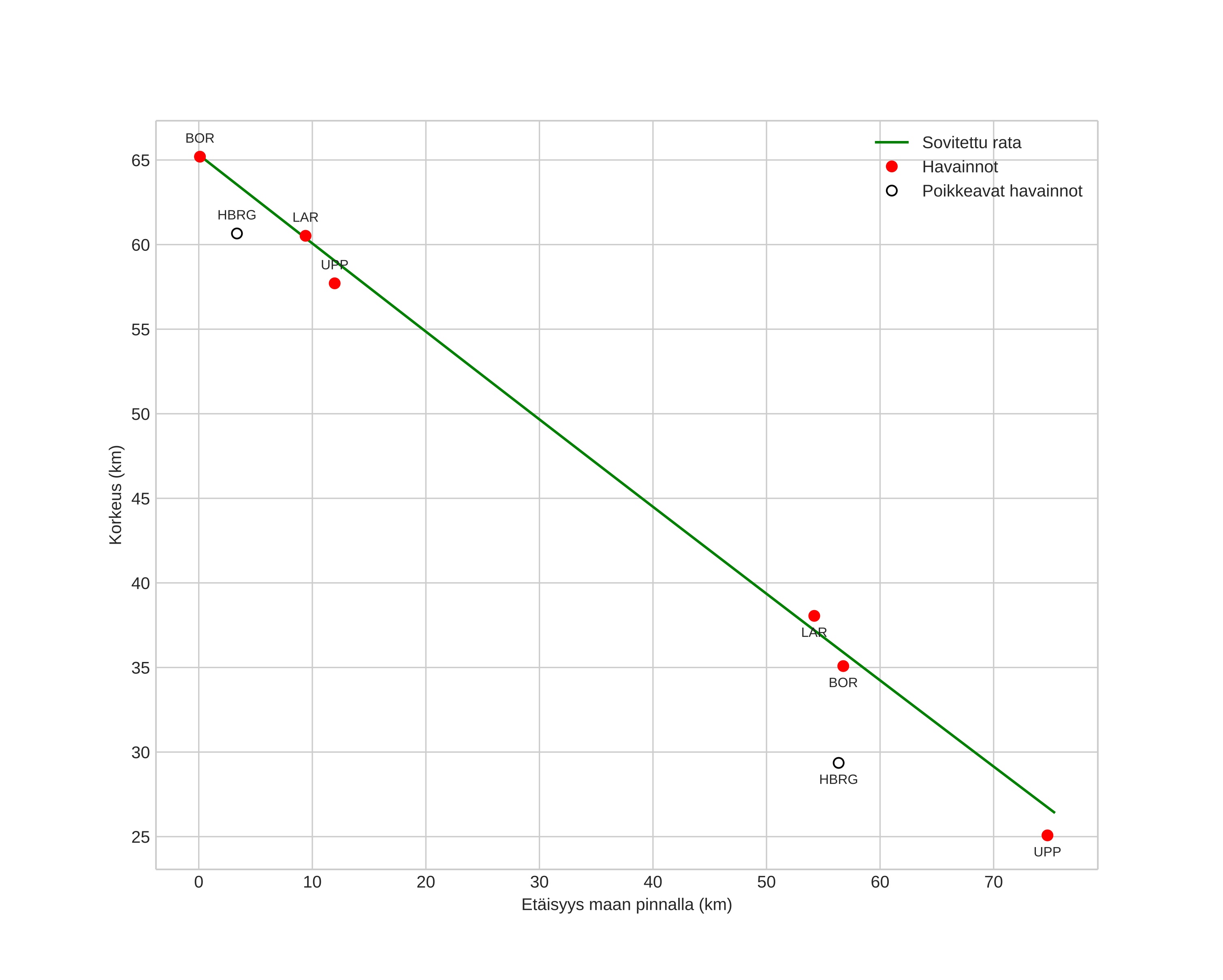
height profile
Meteorin ilmakehärata:
Alkukorkeus: 65,3 km
Loppukorkeus: 26,4 km
Alkupiste: 60,890N 17,217E
Loppupiste: 60,345N 18,037E
Suunta: 143,3°
Kallistuskulma: 27,3°
Tulonopeus: 11,8 km/s
Radiantin R,A,: 21:34 (323,5°)
Radiantin Dekl,: 17,2°
Meteoriparvi: Sporadinen
Meteoroidin rataelementit:
Perihelietäisyys: 0,791 AU
Eksentrisyys: 0,150
Inklinaatio: 4,2°
Nousevan solmun pituus: 356,1°
Perihelin argumentti: 54,8°
Keskianomalia: 110,2°
Epookki: 2021 MAR 16 18:09:47
orbit plot

Ei-interaktiivinen kuvaaja | Interaktiivinen kuvaaja

position vs time
speed and acceleration

Larvik (LAR) cam2


gnomonic
Videot:
• Gnomoninen
• Gnomoninen koordinaateilla
• Alkuperäinen
• Alkuperäinen koordinaateilla
Kuvat:
• Gnomoninen
• Gnomoninen koordinaateilla
• Gnomoninen merkinnöillä
• Alkuperäinen
• Alkuperäinen koordinaateilla
• Alkuperäinen maskilla
Tekstitiedostot:
• Havaintoraportti
• Observaatio
• Koordinaatit
• Virheilmoitukset
• Loki
Kirkkaus