🇳🇴 🇬🇧 🇩🇪 🇨🇿 🇫🇮

Meteor, poloha: Lyngseidet 2021-03-17 23:02:49 UTC

Soubor KML

Mapa zobrazuje dráhy meteoru. Světlejší čáry ukazují směry od pozorovacích stanic při objevení se meteoru a tmavší čáry, kde byl naposledy viděn. Modrá šipka značí viditelnou dráhu meteoru.

static map
height profile
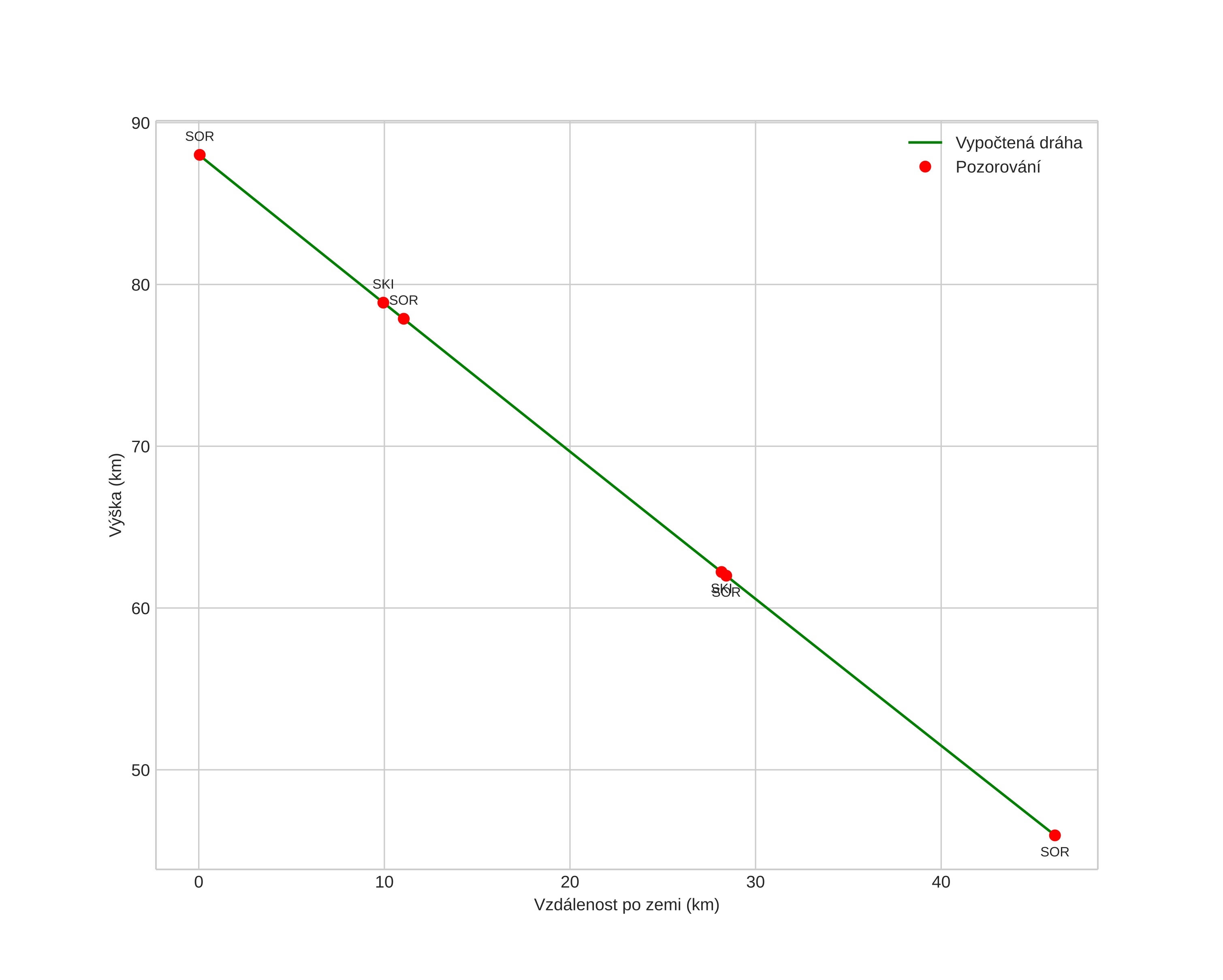
Atmosférická dráha meteoru:
Počáteční výška: 88,0 km
Konečná výška: 45,9 km
Počáteční poloha: 69,190N 19,259E
Konečná poloha: 69,375N 20,311E
Směr: 63,2°
Sklon: 42,4°
VstupnĂ­ rychlost: 14,1 km/s
Rektascenze radiantu: 08:20 (125,2°)
Deklinace radiantu: 19,5°
MeteorickĂ˝ roj: sporadickĂ˝
Elementy dráhy meteoroidu:
Vzdálenost v periheliu: 0,974 AU
Excentricita: 0,582
Sklon dráhy: 0,0°
Délka vzestupného uzlu: 358,8°
Argument perihelia: 198,2°
Střední anomálie: 355,7°
Epocha: 2021 MAR 17 23:02:49
orbit plot

NeinteraktivnĂ­ graf

position vs time
speed and acceleration