🇳🇴 🇬🇧 🇩🇪 🇨🇿 🇫🇮

Meteor Lyngseidetin yllä 2021-03-17 23:02:49 UTC

KML-tiedosto

Kartta näyttää meteorin suuntahavainnot. Vaaleammat viivat näyttävät suunnat havaintoasemilta meteorin ilmestyessä, ja tummemmat viivat näyttävät, missä se viimeksi nähtiin. Sininen nuoli näyttää meteorin näkyvän lennon.

static map
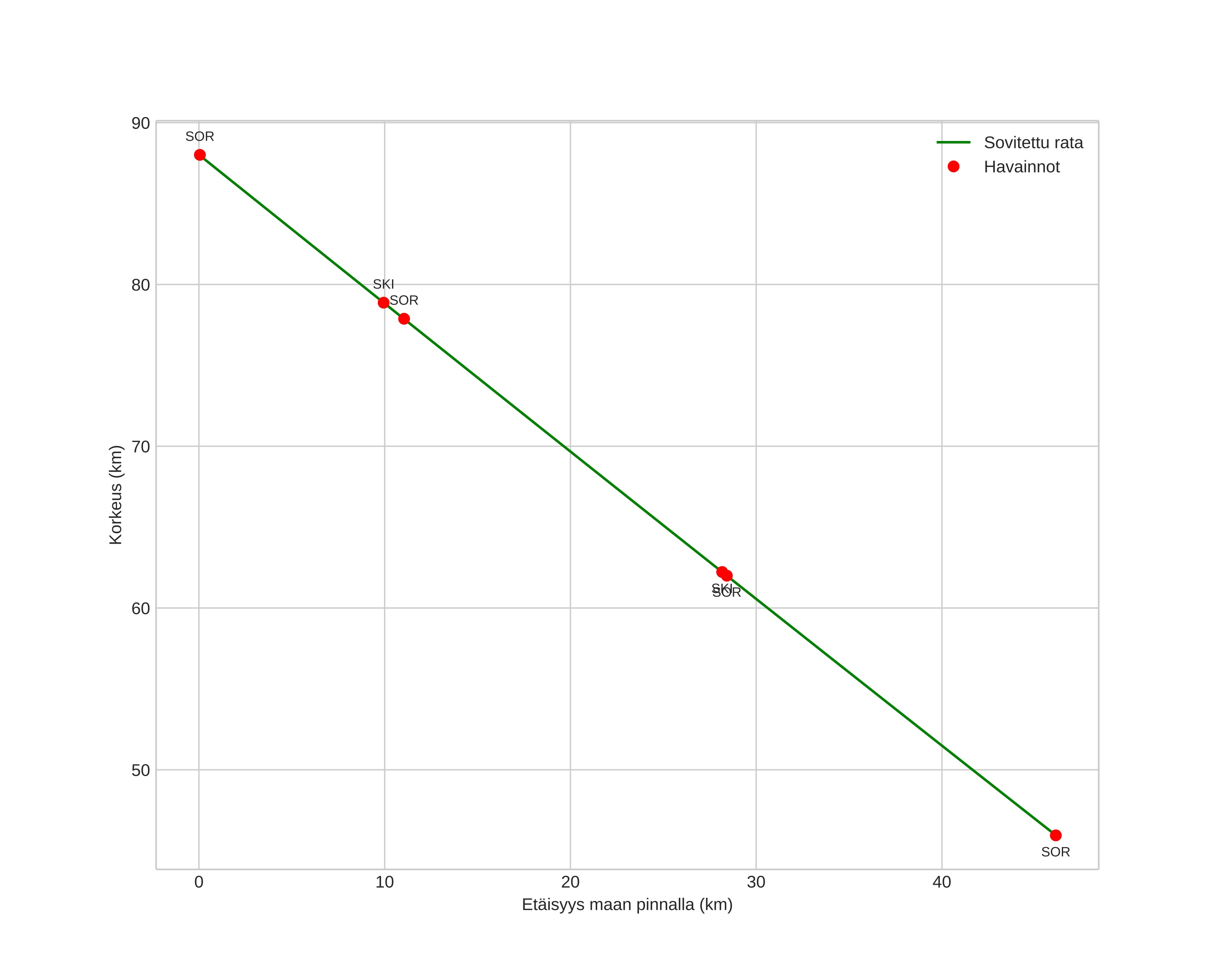
height profile
Meteorin ilmakehärata:
Alkukorkeus: 88,0 km
Loppukorkeus: 45,9 km
Alkupiste: 69,190N 19,259E
Loppupiste: 69,375N 20,311E
Suunta: 63,2°
Kallistuskulma: 42,4°
Tulonopeus: 14,1 km/s
Radiantin R,A,: 08:20 (125,2°)
Radiantin Dekl,: 19,5°
Meteoriparvi: Sporadinen
Meteoroidin rataelementit:
Perihelietäisyys: 0,974 AU
Eksentrisyys: 0,582
Inklinaatio: 0,0°
Nousevan solmun pituus: 358,8°
Perihelin argumentti: 198,2°
Keskianomalia: 355,7°
Epookki: 2021 MAR 17 23:02:49
orbit plot

Ei-interaktiivinen kuvaaja

position vs time
speed and acceleration