🇳🇴 🇬🇧 🇩🇪 🇨🇿 🇫🇮

Meteor, poloha: Setermoen 2021-03-17 23:25:45 UTC

Soubor KML  |  InteraktivnĂ­ mapa

Mapa zobrazuje dráhy meteoru. Světlejší čáry ukazují směry od pozorovacích stanic při objevení se meteoru a tmavší čáry, kde byl naposledy viděn. Modrá šipka značí viditelnou dráhu meteoru.

static map
height profile
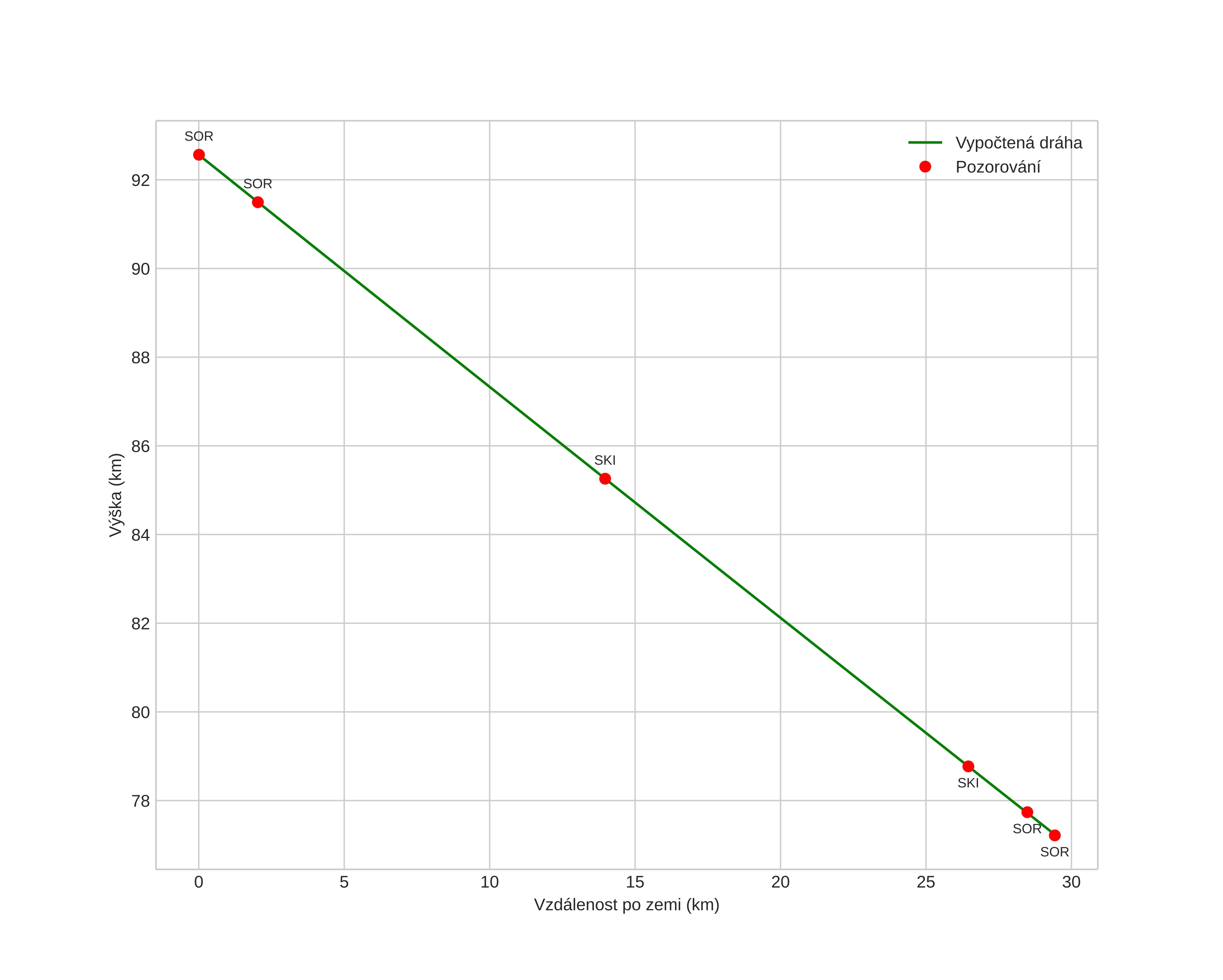
Atmosférická dráha meteoru:
Počáteční výška: 91,6 km
Konečná výška: 77,2 km
Počáteční poloha: 68,649N 18,609E
Konečná poloha: 68,895N 18,576E
Směr: 357,3°
Sklon: 27,7°
VstupnĂ­ rychlost: 32,0 km/s
Rektascenze radiantu: 12:30 (187,6°)
Deklinace radiantu: 4,3°
MeteorickĂ˝ roj: sporadickĂ˝
Elementy dráhy meteoroidu:
Vzdálenost v periheliu: 0,402 AU
Excentricita: 0,882
Sklon dráhy: 8,0°
Délka vzestupného uzlu: 357,3°
Argument perihelia: 285,7°
Střední anomálie: 353,5°
Epocha: 2021 MAR 17 23:25:45
orbit plot

NeinteraktivnĂ­ graf | InteraktivnĂ­ graf

position vs time
speed and acceleration