🇳🇴 🇬🇧 🇩🇪 🇨🇿 🇫🇮

Meteor Setermoenin yllä 2021-03-17 23:25:45 UTC

KML-tiedosto  |  Interaktiivinen kartta

Kartta näyttää meteorin suuntahavainnot. Vaaleammat viivat näyttävät suunnat havaintoasemilta meteorin ilmestyessä, ja tummemmat viivat näyttävät, missä se viimeksi nähtiin. Sininen nuoli näyttää meteorin näkyvän lennon.

static map
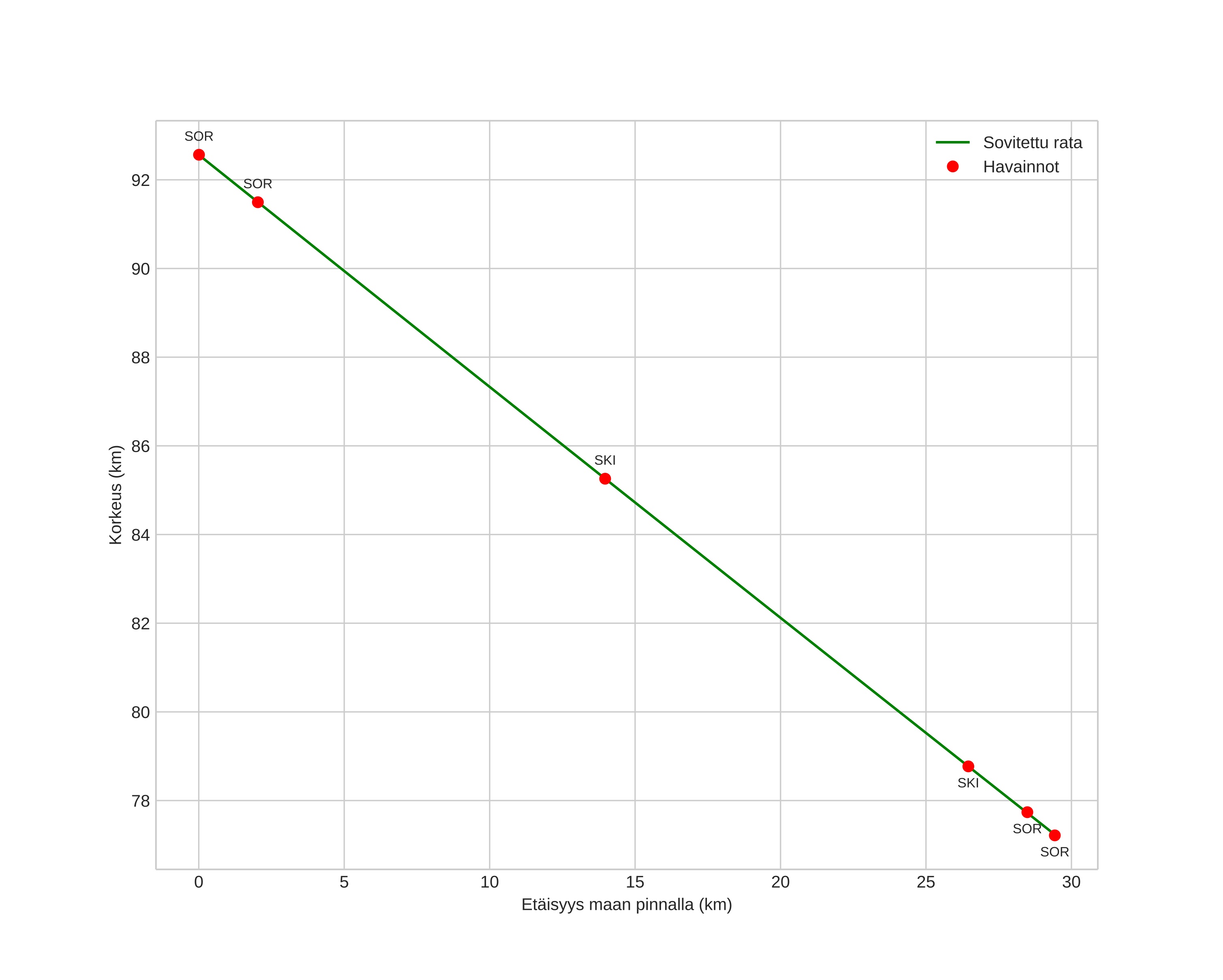
height profile
Meteorin ilmakehärata:
Alkukorkeus: 91,6 km
Loppukorkeus: 77,2 km
Alkupiste: 68,649N 18,609E
Loppupiste: 68,895N 18,576E
Suunta: 357,3°
Kallistuskulma: 27,7°
Tulonopeus: 32,0 km/s
Radiantin R,A,: 12:30 (187,6°)
Radiantin Dekl,: 4,3°
Meteoriparvi: Sporadinen
Meteoroidin rataelementit:
Perihelietäisyys: 0,402 AU
Eksentrisyys: 0,882
Inklinaatio: 8,0°
Nousevan solmun pituus: 357,3°
Perihelin argumentti: 285,7°
Keskianomalia: 353,5°
Epookki: 2021 MAR 17 23:25:45
orbit plot

Ei-interaktiivinen kuvaaja | Interaktiivinen kuvaaja

position vs time
speed and acceleration