🇳🇴 🇬🇧 🇩🇪 🇨🇿 🇫🇮

Meteor, poloha: Andenes 2021-03-18 00:56:12 UTC

Soubor KML  |  InteraktivnĂ­ mapa

Mapa zobrazuje dráhy meteoru. Světlejší čáry ukazují směry od pozorovacích stanic při objevení se meteoru a tmavší čáry, kde byl naposledy viděn. Modrá šipka značí viditelnou dráhu meteoru.

static map
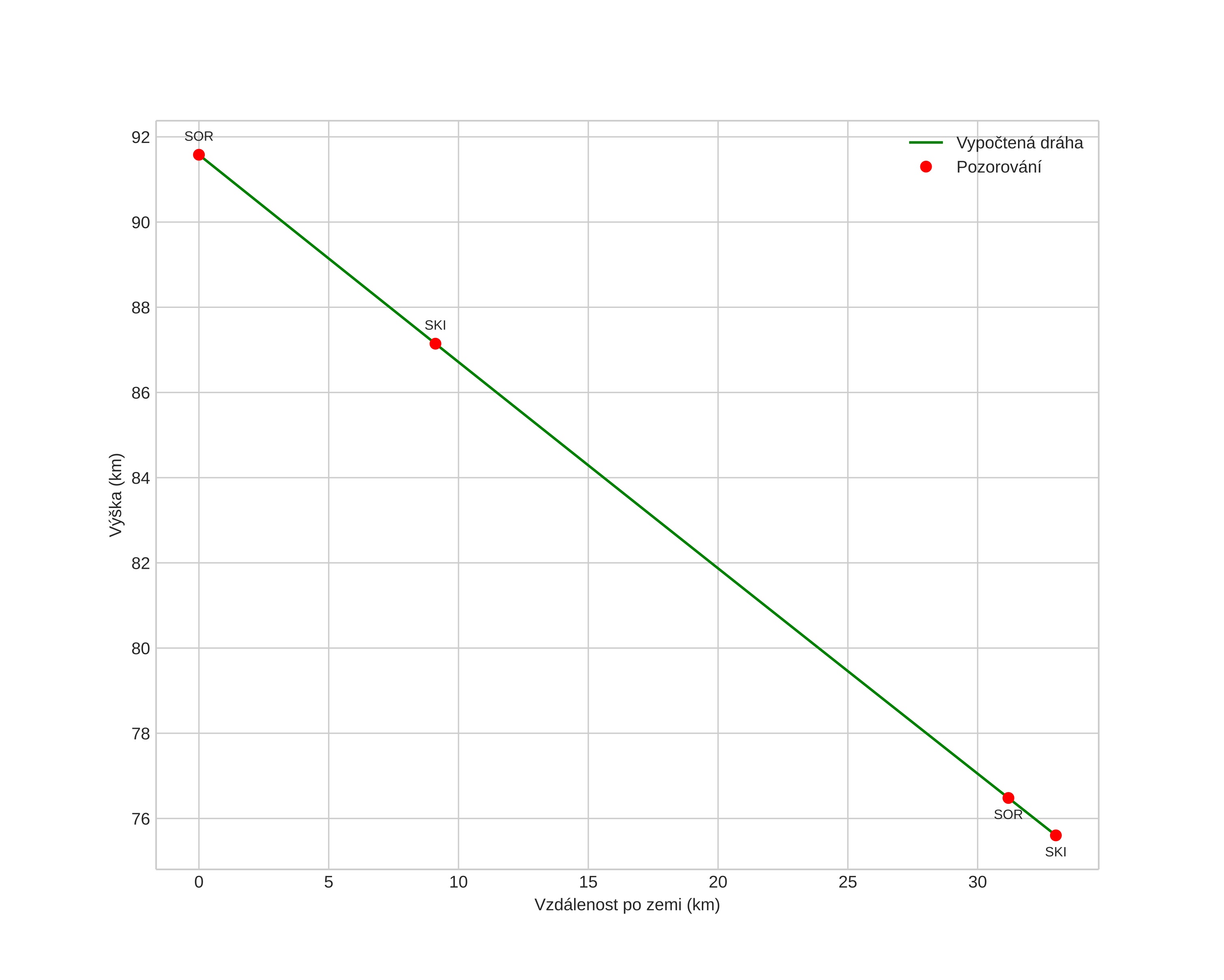
height profile
Atmosférická dráha meteoru:
Počáteční výška: 91,6 km
Konečná výška: 75,6 km
Počáteční poloha: 69,948N 15,588E
Konečná poloha: 70,222N 15,920E
Směr: 22,2°
Sklon: 25,9°
VstupnĂ­ rychlost: 30,0 km/s
Rektascenze radiantu: 12:17 (184,4°)
Deklinace radiantu: 4,6°
MeteorickĂ˝ roj: sporadickĂ˝
Elementy dráhy meteoroidu:
Vzdálenost v periheliu: 0,462 AU
Excentricita: 0,859
Sklon dráhy: 6,1°
Délka vzestupného uzlu: 357,4°
Argument perihelia: 279,2°
Střední anomálie: 353,0°
Epocha: 2021 MAR 18 00:56:12
orbit plot

NeinteraktivnĂ­ graf | InteraktivnĂ­ graf

position vs time
speed and acceleration