🇳🇴 🇬🇧 🇩🇪 🇨🇿 🇫🇮

Meteor Andenesin yllä 2021-03-18 00:56:12 UTC

KML-tiedosto  |  Interaktiivinen kartta

Kartta näyttää meteorin suuntahavainnot. Vaaleammat viivat näyttävät suunnat havaintoasemilta meteorin ilmestyessä, ja tummemmat viivat näyttävät, missä se viimeksi nähtiin. Sininen nuoli näyttää meteorin näkyvän lennon.

static map
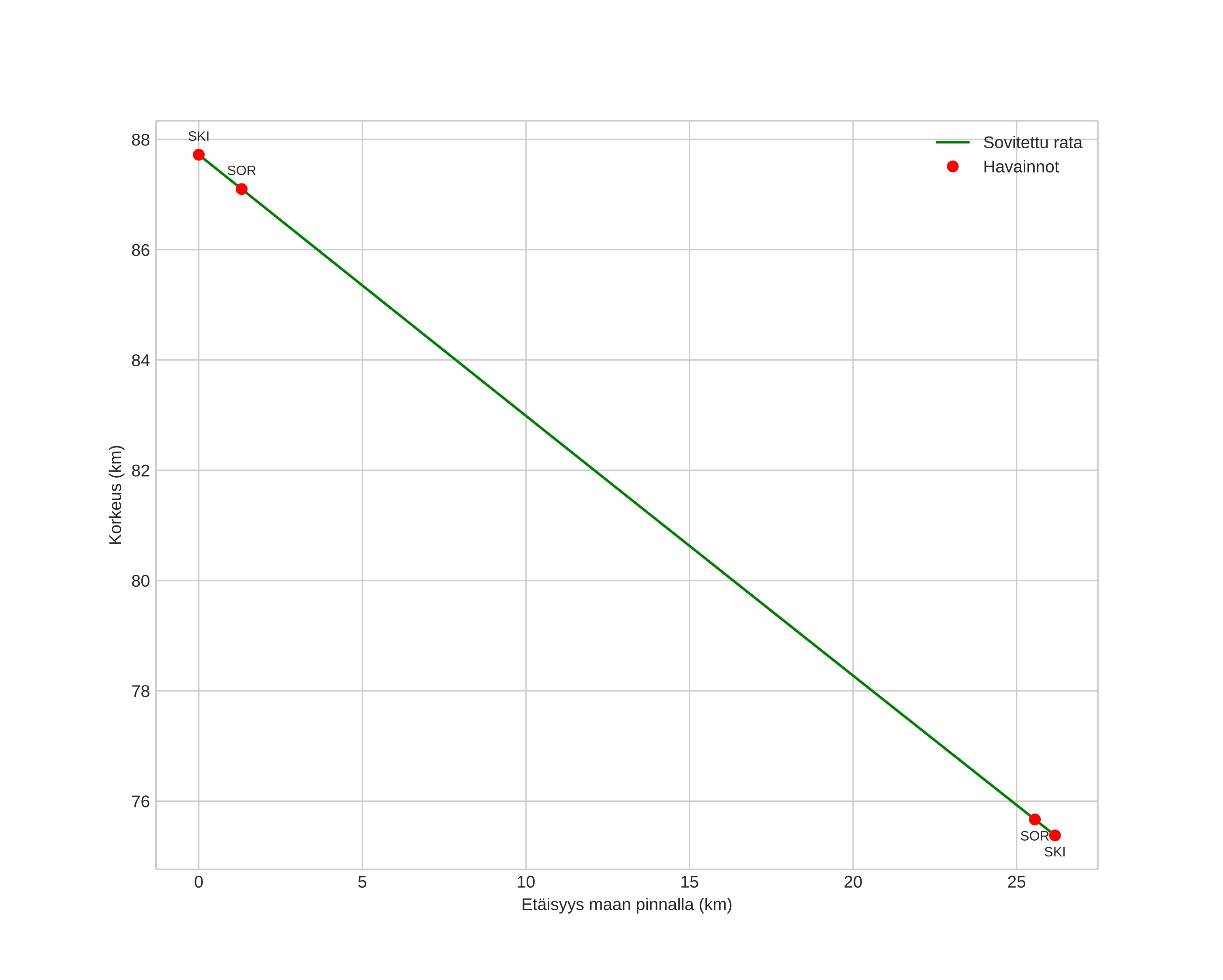
height profile
Meteorin ilmakehärata:
Alkukorkeus: 91,6 km
Loppukorkeus: 75,6 km
Alkupiste: 69,948N 15,588E
Loppupiste: 70,222N 15,920E
Suunta: 22,2°
Kallistuskulma: 25,9°
Tulonopeus: 30,0 km/s
Radiantin R,A,: 12:17 (184,4°)
Radiantin Dekl,: 4,6°
Meteoriparvi: Sporadinen
Meteoroidin rataelementit:
Perihelietäisyys: 0,462 AU
Eksentrisyys: 0,859
Inklinaatio: 6,1°
Nousevan solmun pituus: 357,4°
Perihelin argumentti: 279,2°
Keskianomalia: 353,0°
Epookki: 2021 MAR 18 00:56:12
orbit plot

Ei-interaktiivinen kuvaaja | Interaktiivinen kuvaaja

position vs time
speed and acceleration