🇳🇴 🇬🇧 🇩🇪 🇨🇿 🇫🇮

Meteor, poloha: Arvidsjaur 2021-03-18 01:57:04 UTC

Soubor KML  |  InteraktivnĂ­ mapa

Mapa zobrazuje dráhy meteoru. Světlejší čáry ukazují směry od pozorovacích stanic při objevení se meteoru a tmavší čáry, kde byl naposledy viděn. Modrá šipka značí viditelnou dráhu meteoru.

static map
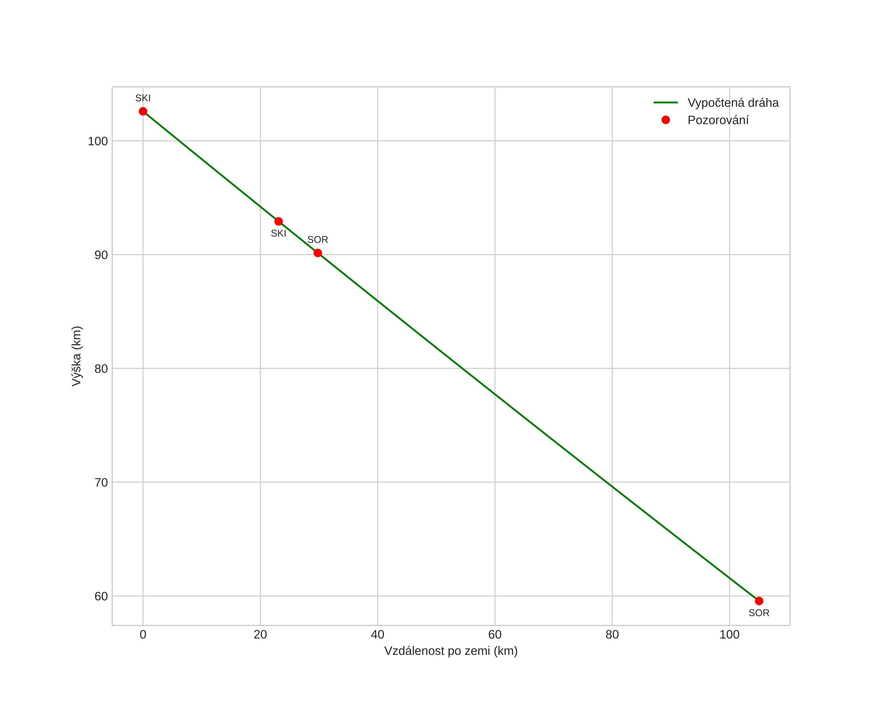
height profile
Atmosférická dráha meteoru:
Počáteční výška: 97,0 km
Konečná výška: 58,9 km
Počáteční poloha: 65,721N 17,183E
Konečná poloha: 66,040N 19,059E
Směr: 66,6°
Sklon: 22,4°
VstupnĂ­ rychlost: 22,1 km/s
Rektascenze radiantu: 10:38 (159,7°)
Deklinace radiantu: 6,3°
MeteorickĂ˝ roj: sporadickĂ˝
Elementy dráhy meteoroidu:
Vzdálenost v periheliu: 0,783 AU
Excentricita: 0,855
Sklon dráhy: 1,1°
Délka vzestupného uzlu: 177,4°
Argument perihelia: 57,6°
Střední anomálie: 357,2°
Epocha: 2021 MAR 18 01:57:04
orbit plot

NeinteraktivnĂ­ graf | InteraktivnĂ­ graf

position vs time
speed and acceleration