🇳🇴 🇬🇧 🇩🇪 🇨🇿 🇫🇮

Meteor Arvidsjaurin yllä 2021-03-18 01:57:04 UTC

KML-tiedosto  |  Interaktiivinen kartta

Kartta näyttää meteorin suuntahavainnot. Vaaleammat viivat näyttävät suunnat havaintoasemilta meteorin ilmestyessä, ja tummemmat viivat näyttävät, missä se viimeksi nähtiin. Sininen nuoli näyttää meteorin näkyvän lennon.

static map
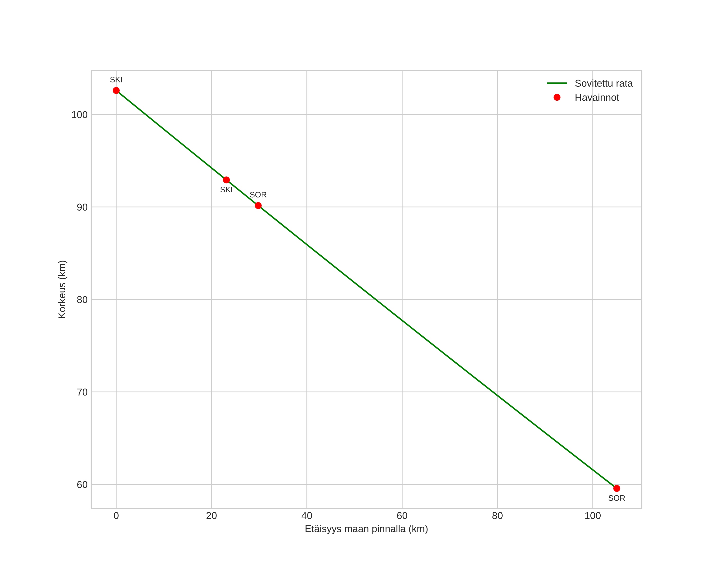
height profile
Meteorin ilmakehärata:
Alkukorkeus: 97,0 km
Loppukorkeus: 58,9 km
Alkupiste: 65,721N 17,183E
Loppupiste: 66,040N 19,059E
Suunta: 66,6°
Kallistuskulma: 22,4°
Tulonopeus: 22,1 km/s
Radiantin R,A,: 10:38 (159,7°)
Radiantin Dekl,: 6,3°
Meteoriparvi: Sporadinen
Meteoroidin rataelementit:
Perihelietäisyys: 0,783 AU
Eksentrisyys: 0,855
Inklinaatio: 1,1°
Nousevan solmun pituus: 177,4°
Perihelin argumentti: 57,6°
Keskianomalia: 357,2°
Epookki: 2021 MAR 18 01:57:04
orbit plot

Ei-interaktiivinen kuvaaja | Interaktiivinen kuvaaja

position vs time
speed and acceleration