🇳🇴 🇬🇧 🇩🇪 🇨🇿 🇫🇮

Meteor, poloha: Setermoen 2021-03-18 02:45:50 UTC

Soubor KML  |  InteraktivnĂ­ mapa

Mapa zobrazuje dráhy meteoru. Světlejší čáry ukazují směry od pozorovacích stanic při objevení se meteoru a tmavší čáry, kde byl naposledy viděn. Modrá šipka značí viditelnou dráhu meteoru.

static map
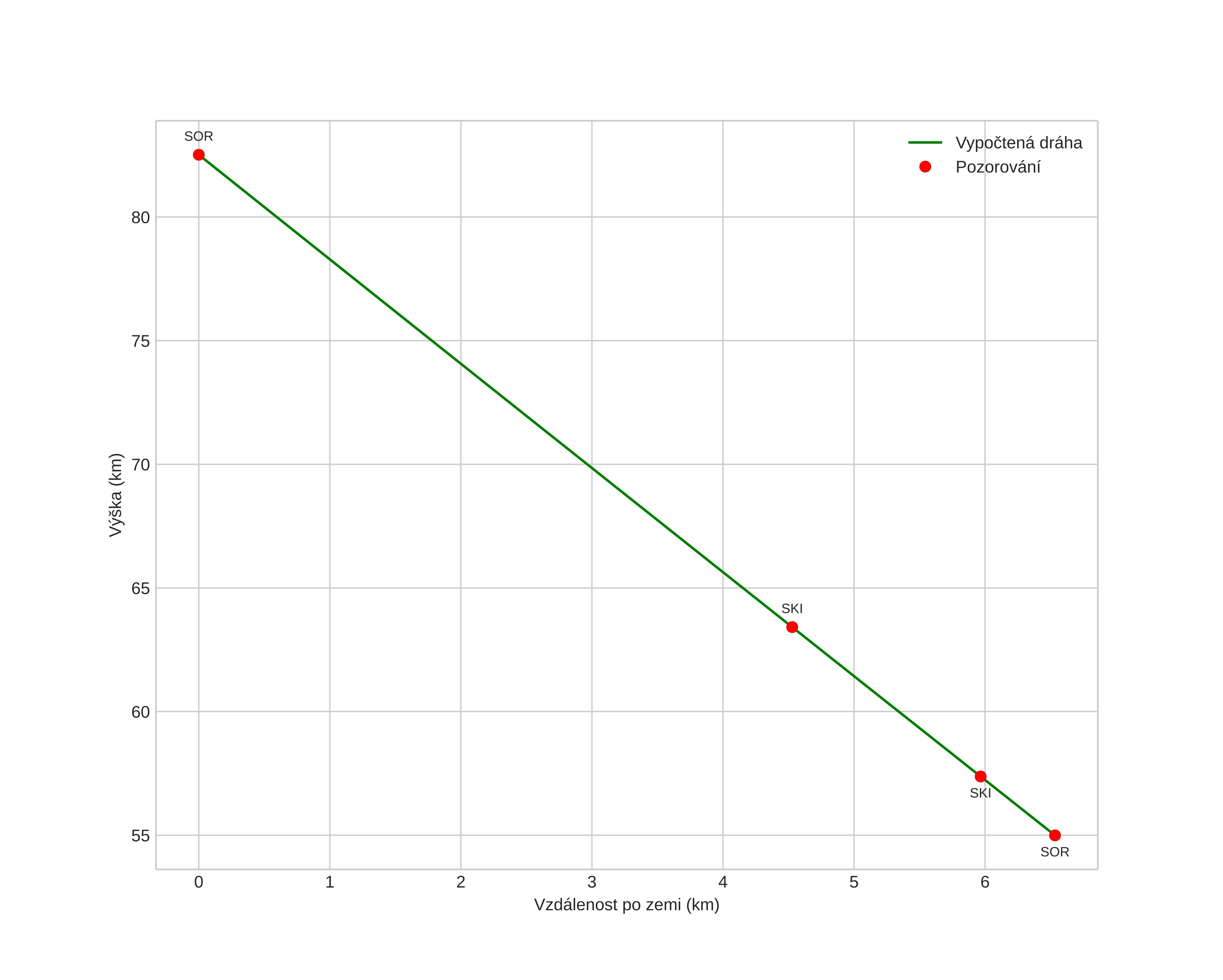
height profile
Atmosférická dráha meteoru:
Počáteční výška: 81,0 km
Konečná výška: 53,4 km
Počáteční poloha: 68,198N 18,276E
Konečná poloha: 68,148N 18,241E
Směr: 194,1°
Sklon: 78,1°
VstupnĂ­ rychlost: 19,8 km/s
Rektascenze radiantu: 16:46 (251,6°)
Deklinace radiantu: 80,4°
MeteorickĂ˝ roj: sporadickĂ˝
Elementy dráhy meteoroidu:
Vzdálenost v periheliu: 0,995 AU
Excentricita: 0,575
Sklon dráhy: 25,1°
Délka vzestupného uzlu: 357,4°
Argument perihelia: 182,4°
Střední anomálie: 359,5°
Epocha: 2021 MAR 18 02:45:50
orbit plot

NeinteraktivnĂ­ graf | InteraktivnĂ­ graf

position vs time
speed and acceleration