🇳🇴 🇬🇧 🇩🇪 🇨🇿 🇫🇮

Meteor Setermoenin yllä 2021-03-18 02:45:50 UTC

KML-tiedosto  |  Interaktiivinen kartta

Kartta näyttää meteorin suuntahavainnot. Vaaleammat viivat näyttävät suunnat havaintoasemilta meteorin ilmestyessä, ja tummemmat viivat näyttävät, missä se viimeksi nähtiin. Sininen nuoli näyttää meteorin näkyvän lennon.

static map
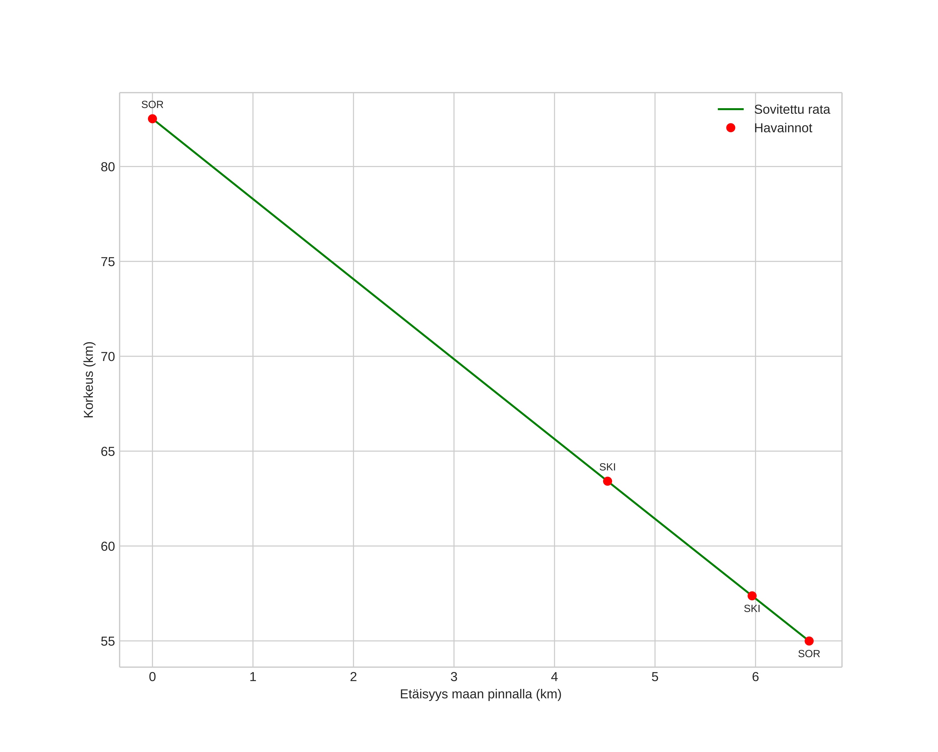
height profile
Meteorin ilmakehärata:
Alkukorkeus: 81,0 km
Loppukorkeus: 53,4 km
Alkupiste: 68,198N 18,276E
Loppupiste: 68,148N 18,241E
Suunta: 194,1°
Kallistuskulma: 78,1°
Tulonopeus: 19,8 km/s
Radiantin R,A,: 16:46 (251,6°)
Radiantin Dekl,: 80,4°
Meteoriparvi: Sporadinen
Meteoroidin rataelementit:
Perihelietäisyys: 0,995 AU
Eksentrisyys: 0,575
Inklinaatio: 25,1°
Nousevan solmun pituus: 357,4°
Perihelin argumentti: 182,4°
Keskianomalia: 359,5°
Epookki: 2021 MAR 18 02:45:50
orbit plot

Ei-interaktiivinen kuvaaja | Interaktiivinen kuvaaja

position vs time
speed and acceleration