🇳🇴 🇬🇧 🇩🇪 🇨🇿 🇫🇮

Meteor, poloha: Ulricehamn 2021-03-18 23:28:34 UTC

Soubor KML  |  InteraktivnĂ­ mapa

Mapa zobrazuje dráhy meteoru. Světlejší čáry ukazují směry od pozorovacích stanic při objevení se meteoru a tmavší čáry, kde byl naposledy viděn. Modrá šipka značí viditelnou dráhu meteoru.

static map
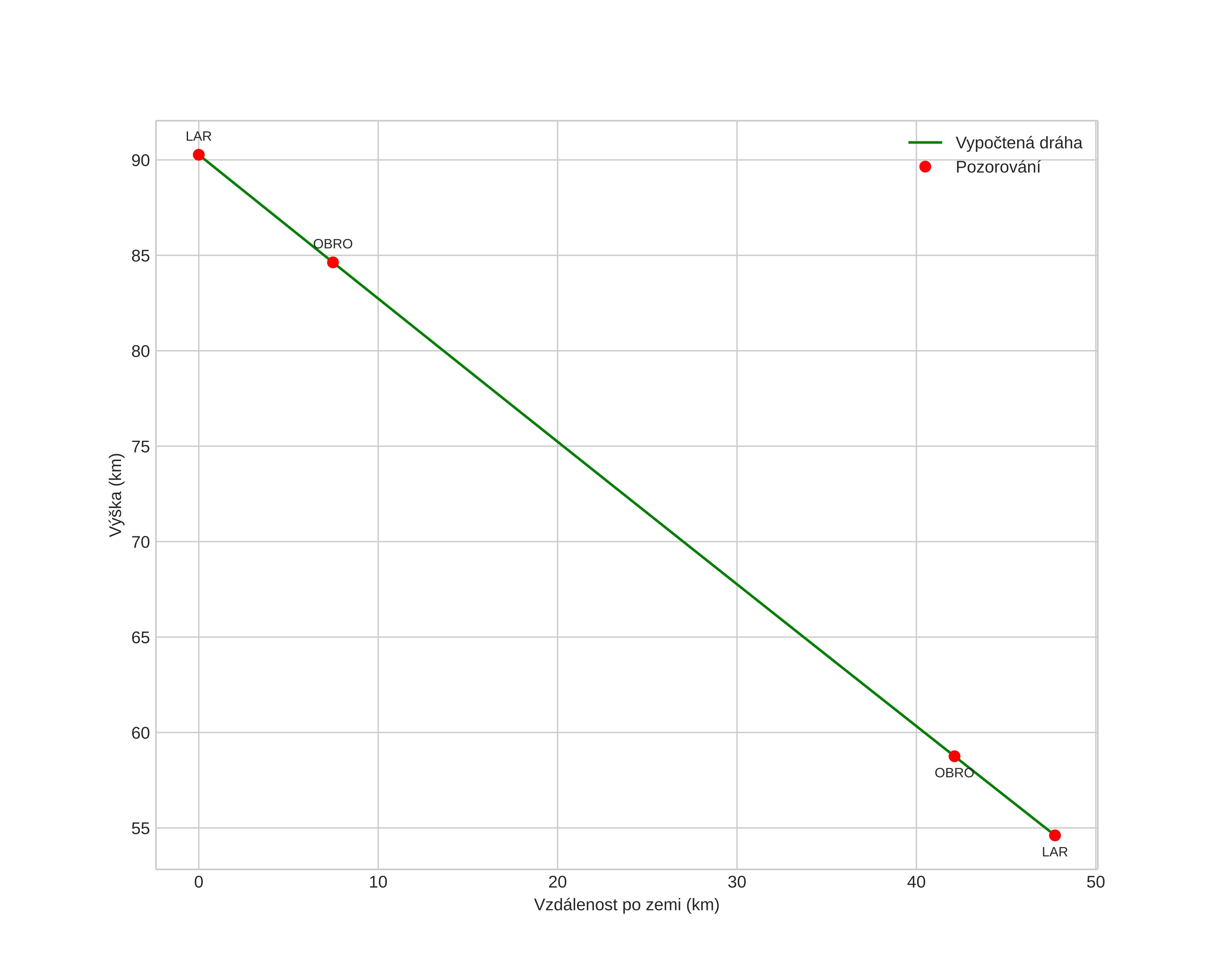
height profile
Atmosférická dráha meteoru:
Počáteční výška: 89,2 km
Konečná výška: 54,9 km
Počáteční poloha: 57,496N 13,493E
Konečná poloha: 57,908N 13,402E
Směr: 353,3°
Sklon: 36,7°
VstupnĂ­ rychlost: 30,1 km/s
Rektascenze radiantu: 12:28 (187,1°)
Deklinace radiantu: 2,3°
MeteorickĂ˝ roj: sporadickĂ˝
Elementy dráhy meteoroidu:
Vzdálenost v periheliu: 0,428 AU
Excentricita: 0,833
Sklon dráhy: 5,2°
Délka vzestupného uzlu: 358,3°
Argument perihelia: 284,7°
Střední anomálie: 349,7°
Epocha: 2021 MAR 18 23:28:34
orbit plot

NeinteraktivnĂ­ graf | InteraktivnĂ­ graf

position vs time
speed and acceleration