🇳🇴 🇬🇧 🇩🇪 🇨🇿 🇫🇮

Meteor Ulricehamnin yllä 2021-03-18 23:28:34 UTC

KML-tiedosto  |  Interaktiivinen kartta

Kartta näyttää meteorin suuntahavainnot. Vaaleammat viivat näyttävät suunnat havaintoasemilta meteorin ilmestyessä, ja tummemmat viivat näyttävät, missä se viimeksi nähtiin. Sininen nuoli näyttää meteorin näkyvän lennon.

static map
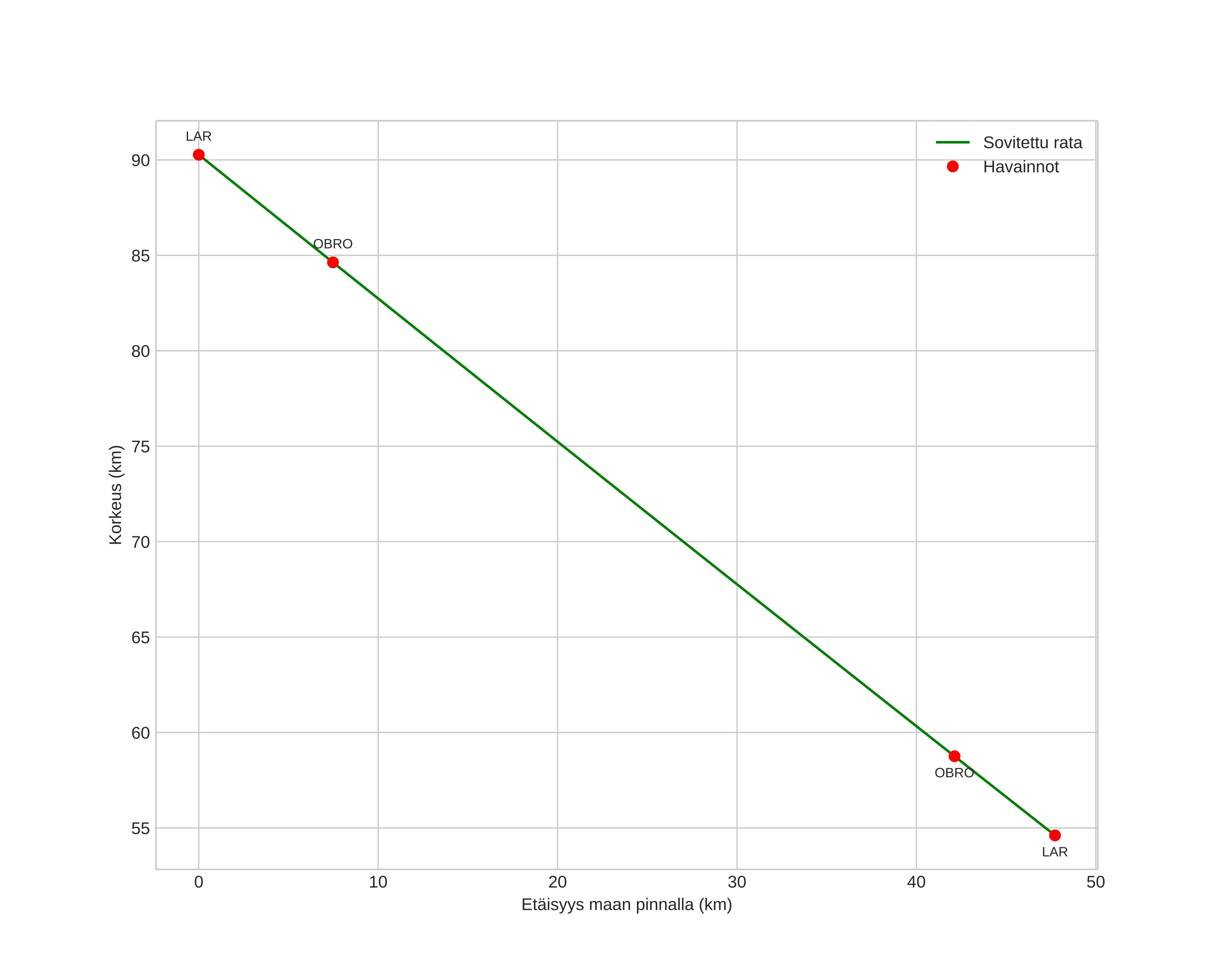
height profile
Meteorin ilmakehärata:
Alkukorkeus: 89,2 km
Loppukorkeus: 54,9 km
Alkupiste: 57,496N 13,493E
Loppupiste: 57,908N 13,402E
Suunta: 353,3°
Kallistuskulma: 36,7°
Tulonopeus: 30,1 km/s
Radiantin R,A,: 12:28 (187,1°)
Radiantin Dekl,: 2,3°
Meteoriparvi: Sporadinen
Meteoroidin rataelementit:
Perihelietäisyys: 0,428 AU
Eksentrisyys: 0,833
Inklinaatio: 5,2°
Nousevan solmun pituus: 358,3°
Perihelin argumentti: 284,7°
Keskianomalia: 349,7°
Epookki: 2021 MAR 18 23:28:34
orbit plot

Ei-interaktiivinen kuvaaja | Interaktiivinen kuvaaja

position vs time
speed and acceleration