🇳🇴 🇬🇧 🇩🇪 🇨🇿 🇫🇮

Meteor, poloha: Rjukan 2021-03-19 02:24:57 UTC

Soubor KML  |  InteraktivnĂ­ mapa

Mapa zobrazuje dráhy meteoru. Světlejší čáry ukazují směry od pozorovacích stanic při objevení se meteoru a tmavší čáry, kde byl naposledy viděn. Modrá šipka značí viditelnou dráhu meteoru.

static map
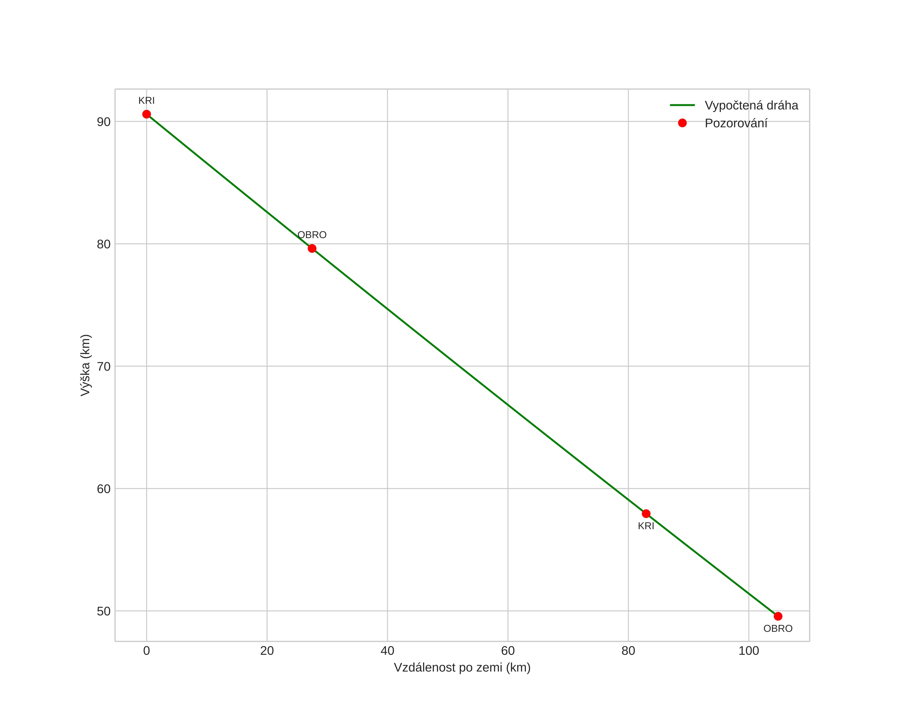
height profile
Atmosférická dráha meteoru:
Počáteční výška: 88,0 km
Konečná výška: 49,6 km
Počáteční poloha: 59,095N 7,659E
Konečná poloha: 59,902N 8,370E
Směr: 23,8°
Sklon: 21,3°
VstupnĂ­ rychlost: 38,0 km/s
Rektascenze radiantu: 13:09 (197,5°)
Deklinace radiantu: -8,8°
MeteorickĂ˝ roj: sporadickĂ˝
Elementy dráhy meteoroidu:
Vzdálenost v periheliu: 0,165 AU
Excentricita: 0,930
Sklon dráhy: 2,8°
Délka vzestupného uzlu: 178,4°
Argument perihelia: 137,1°
Střední anomálie: 350,2°
Epocha: 2021 MAR 19 02:24:57
orbit plot

NeinteraktivnĂ­ graf | InteraktivnĂ­ graf

position vs time
speed and acceleration