🇳🇴 🇬🇧 🇩🇪 🇨🇿 🇫🇮

Meteor Rjukanin yllä 2021-03-19 02:24:57 UTC

KML-tiedosto  |  Interaktiivinen kartta

Kartta näyttää meteorin suuntahavainnot. Vaaleammat viivat näyttävät suunnat havaintoasemilta meteorin ilmestyessä, ja tummemmat viivat näyttävät, missä se viimeksi nähtiin. Sininen nuoli näyttää meteorin näkyvän lennon.

static map
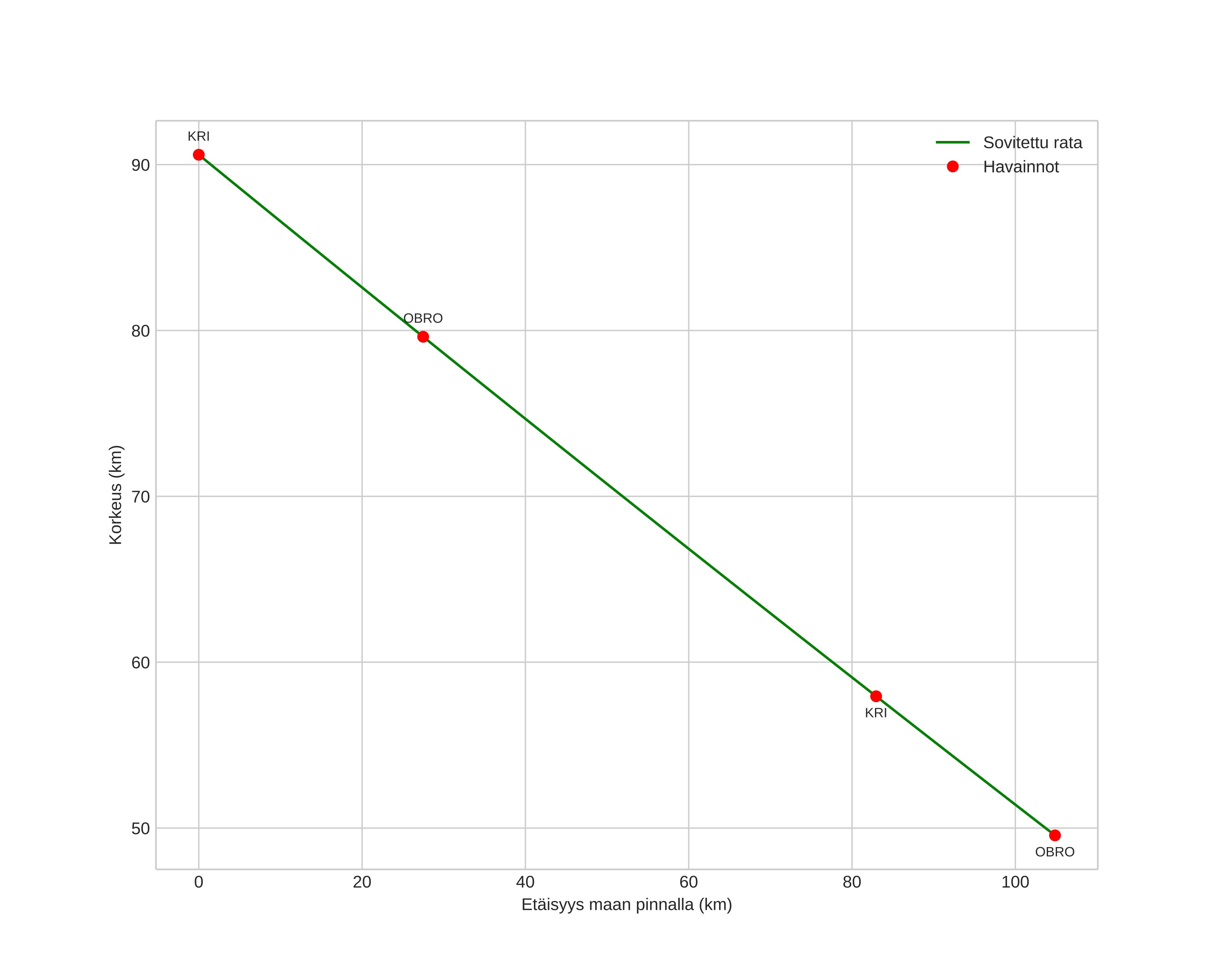
height profile
Meteorin ilmakehärata:
Alkukorkeus: 88,0 km
Loppukorkeus: 49,6 km
Alkupiste: 59,095N 7,659E
Loppupiste: 59,902N 8,370E
Suunta: 23,8°
Kallistuskulma: 21,3°
Tulonopeus: 38,0 km/s
Radiantin R,A,: 13:09 (197,5°)
Radiantin Dekl,: -8,8°
Meteoriparvi: Sporadinen
Meteoroidin rataelementit:
Perihelietäisyys: 0,165 AU
Eksentrisyys: 0,930
Inklinaatio: 2,8°
Nousevan solmun pituus: 178,4°
Perihelin argumentti: 137,1°
Keskianomalia: 350,2°
Epookki: 2021 MAR 19 02:24:57
orbit plot

Ei-interaktiivinen kuvaaja | Interaktiivinen kuvaaja

position vs time
speed and acceleration