🇳🇴 🇬🇧 🇩🇪 🇨🇿 🇫🇮

Meteor, poloha: Storsteinnes 2021-03-25 21:51:08 UTC

Soubor KML  |  InteraktivnĂ­ mapa

Mapa zobrazuje dráhy meteoru. Světlejší čáry ukazují směry od pozorovacích stanic při objevení se meteoru a tmavší čáry, kde byl naposledy viděn. Modrá šipka značí viditelnou dráhu meteoru.

static map
height profile
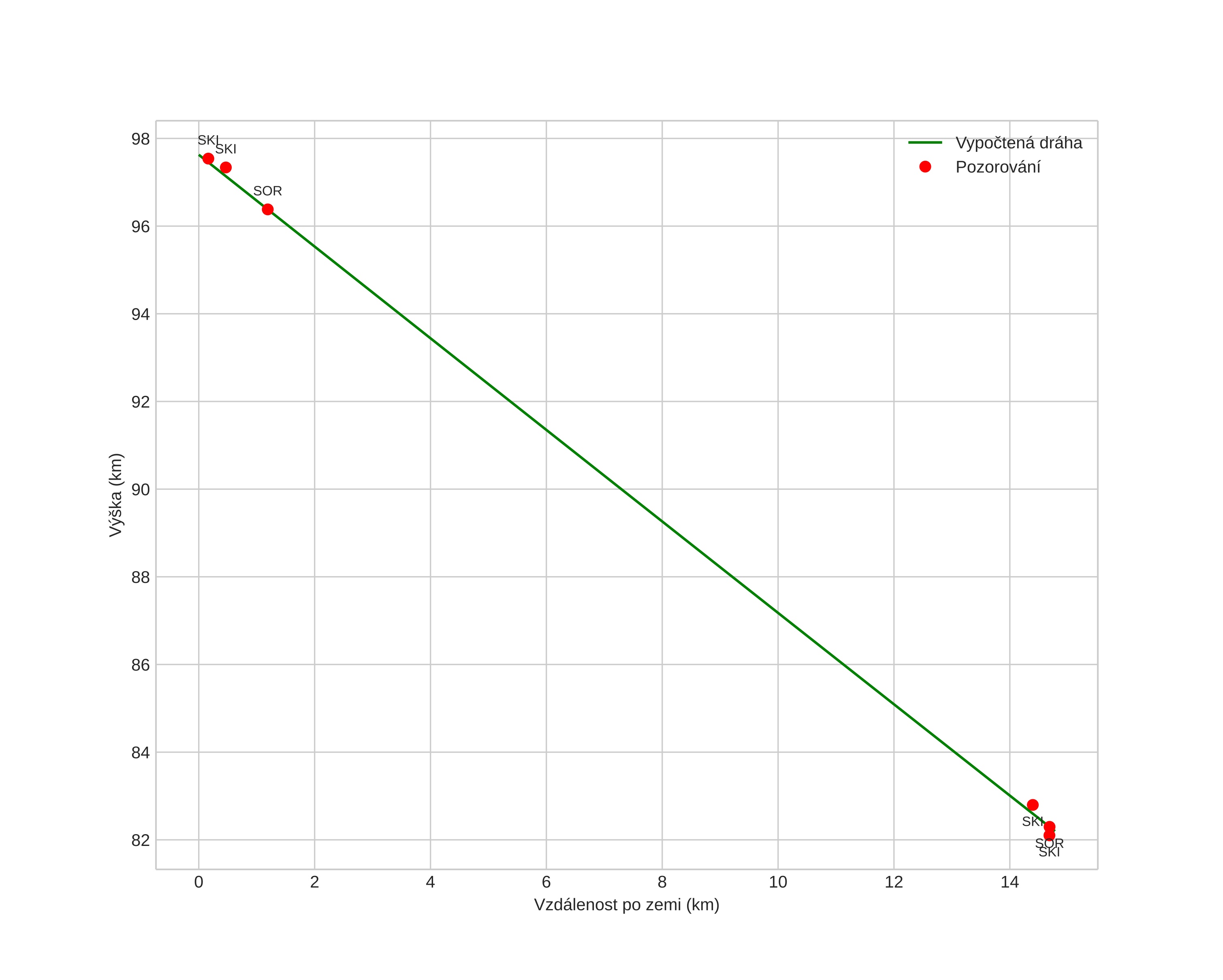
Atmosférická dráha meteoru:
Počáteční výška: 97,4 km
Konečná výška: 82,7 km
Počáteční poloha: 69,076N 19,287E
Konečná poloha: 69,192N 19,162E
Směr: 339,2°
Sklon: 46,6°
VstupnĂ­ rychlost: 23,5 km/s
Rektascenze radiantu: 12:24 (186,1°)
Deklinace radiantu: 24,0°
MeteorickĂ˝ roj: sporadickĂ˝
Elementy dráhy meteoroidu:
Vzdálenost v periheliu: 0,742 AU
Excentricita: 0,761
Sklon dráhy: 14,5°
Délka vzestupného uzlu: 5,2°
Argument perihelia: 246,0°
Střední anomálie: 352,8°
Epocha: 2021 MAR 25 21:51:08
orbit plot

NeinteraktivnĂ­ graf | InteraktivnĂ­ graf

position vs time
speed and acceleration