🇳🇴 🇬🇧 🇩🇪 🇨🇿 🇫🇮

Meteor Storsteinnesin yllä 2021-03-25 21:51:08 UTC

KML-tiedosto  |  Interaktiivinen kartta

Kartta näyttää meteorin suuntahavainnot. Vaaleammat viivat näyttävät suunnat havaintoasemilta meteorin ilmestyessä, ja tummemmat viivat näyttävät, missä se viimeksi nähtiin. Sininen nuoli näyttää meteorin näkyvän lennon.

static map
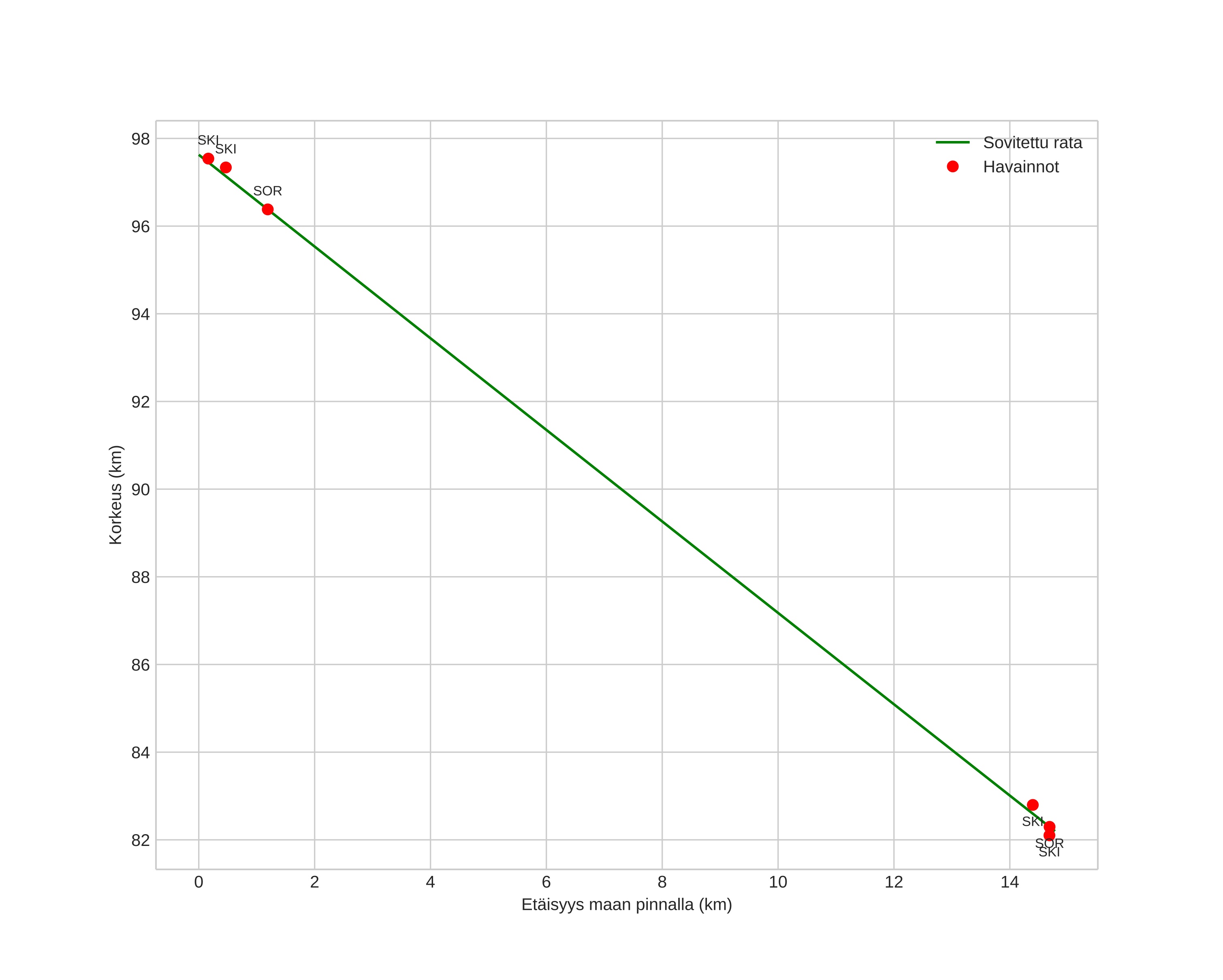
height profile
Meteorin ilmakehärata:
Alkukorkeus: 97,4 km
Loppukorkeus: 82,7 km
Alkupiste: 69,076N 19,287E
Loppupiste: 69,192N 19,162E
Suunta: 339,2°
Kallistuskulma: 46,6°
Tulonopeus: 23,5 km/s
Radiantin R,A,: 12:24 (186,1°)
Radiantin Dekl,: 24,0°
Meteoriparvi: Sporadinen
Meteoroidin rataelementit:
Perihelietäisyys: 0,742 AU
Eksentrisyys: 0,761
Inklinaatio: 14,5°
Nousevan solmun pituus: 5,2°
Perihelin argumentti: 246,0°
Keskianomalia: 352,8°
Epookki: 2021 MAR 25 21:51:08
orbit plot

Ei-interaktiivinen kuvaaja | Interaktiivinen kuvaaja

position vs time
speed and acceleration