🇳🇴 🇬🇧 🇩🇪 🇨🇿 🇫🇮

Meteor, poloha: Setermoen 2021-03-27 01:10:24 UTC

Soubor KML  |  InteraktivnĂ­ mapa

Mapa zobrazuje dráhy meteoru. Světlejší čáry ukazují směry od pozorovacích stanic při objevení se meteoru a tmavší čáry, kde byl naposledy viděn. Modrá šipka značí viditelnou dráhu meteoru.

static map
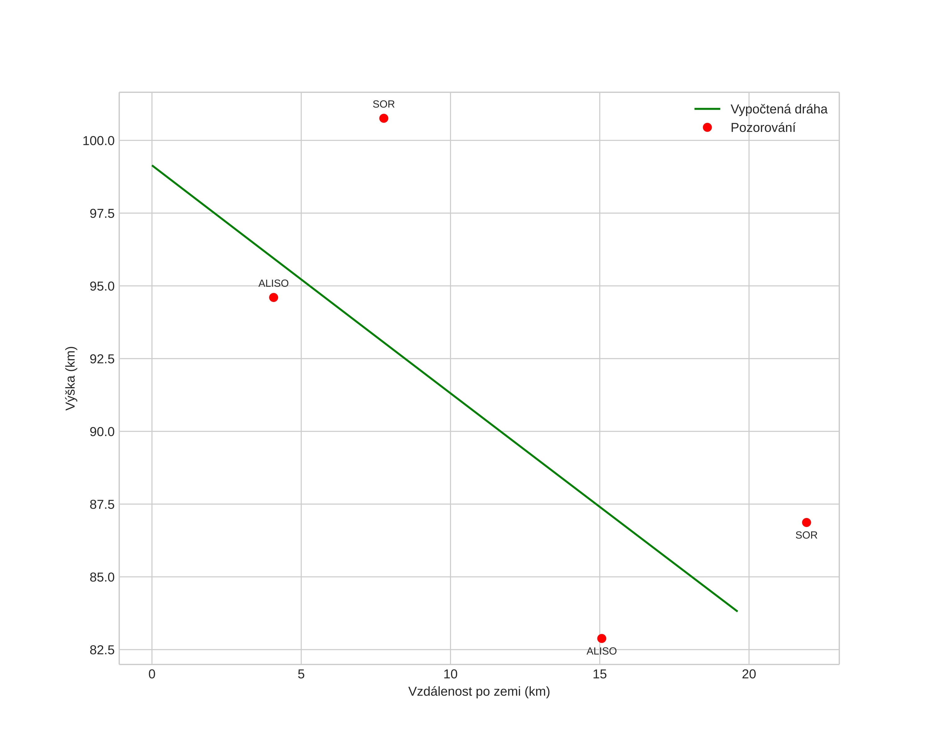
height profile
Atmosférická dráha meteoru:
Počáteční výška: 99,0 km
Konečná výška: 83,3 km
Počáteční poloha: 67,642N 18,061E
Konečná poloha: 67,788N 18,326E
Směr: 34,4°
Sklon: 38,5°
VstupnĂ­ rychlost: 35,1 km/s
Rektascenze radiantu: 12:46 (191,5°)
Deklinace radiantu: 17,9°
MeteorickĂ˝ roj: sporadickĂ˝
Elementy dráhy meteoroidu:
Vzdálenost v periheliu: 0,581 AU
Excentricita: 1,193
Sklon dráhy: 20,7°
Délka vzestupného uzlu: 6,3°
Argument perihelia: 256,6°
Střední anomálie: -6,5°
Epocha: 2021 MAR 27 01:10:24
orbit plot

NeinteraktivnĂ­ graf | InteraktivnĂ­ graf

position vs time
speed and acceleration