🇳🇴 🇬🇧 🇩🇪 🇨🇿 🇫🇮

Meteor Setermoenin yllä 2021-03-27 01:10:24 UTC

KML-tiedosto  |  Interaktiivinen kartta

Kartta näyttää meteorin suuntahavainnot. Vaaleammat viivat näyttävät suunnat havaintoasemilta meteorin ilmestyessä, ja tummemmat viivat näyttävät, missä se viimeksi nähtiin. Sininen nuoli näyttää meteorin näkyvän lennon.

static map
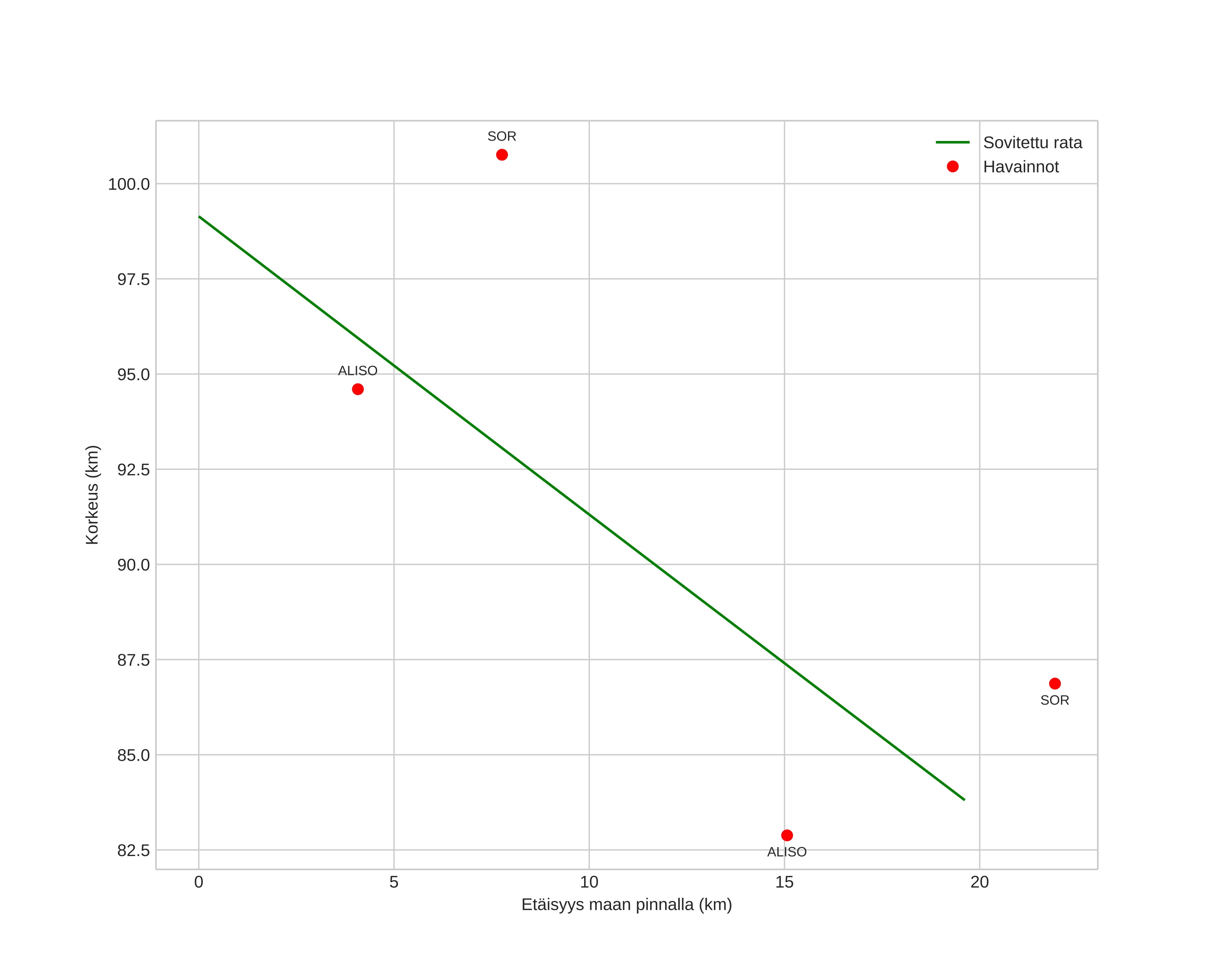
height profile
Meteorin ilmakehärata:
Alkukorkeus: 99,0 km
Loppukorkeus: 83,3 km
Alkupiste: 67,642N 18,061E
Loppupiste: 67,788N 18,326E
Suunta: 34,4°
Kallistuskulma: 38,5°
Tulonopeus: 35,1 km/s
Radiantin R,A,: 12:46 (191,5°)
Radiantin Dekl,: 17,9°
Meteoriparvi: Sporadinen
Meteoroidin rataelementit:
Perihelietäisyys: 0,581 AU
Eksentrisyys: 1,193
Inklinaatio: 20,7°
Nousevan solmun pituus: 6,3°
Perihelin argumentti: 256,6°
Keskianomalia: -6,5°
Epookki: 2021 MAR 27 01:10:24
orbit plot

Ei-interaktiivinen kuvaaja | Interaktiivinen kuvaaja

position vs time
speed and acceleration