🇳🇴 🇬🇧 🇩🇪 🇨🇿 🇫🇮

Meteor, poloha: Aneby 2021-04-01 20:01:56 UTC

Soubor KML  |  InteraktivnĂ­ mapa

Mapa zobrazuje dráhy meteoru. Světlejší čáry ukazují směry od pozorovacích stanic při objevení se meteoru a tmavší čáry, kde byl naposledy viděn. Modrá šipka značí viditelnou dráhu meteoru.

static map
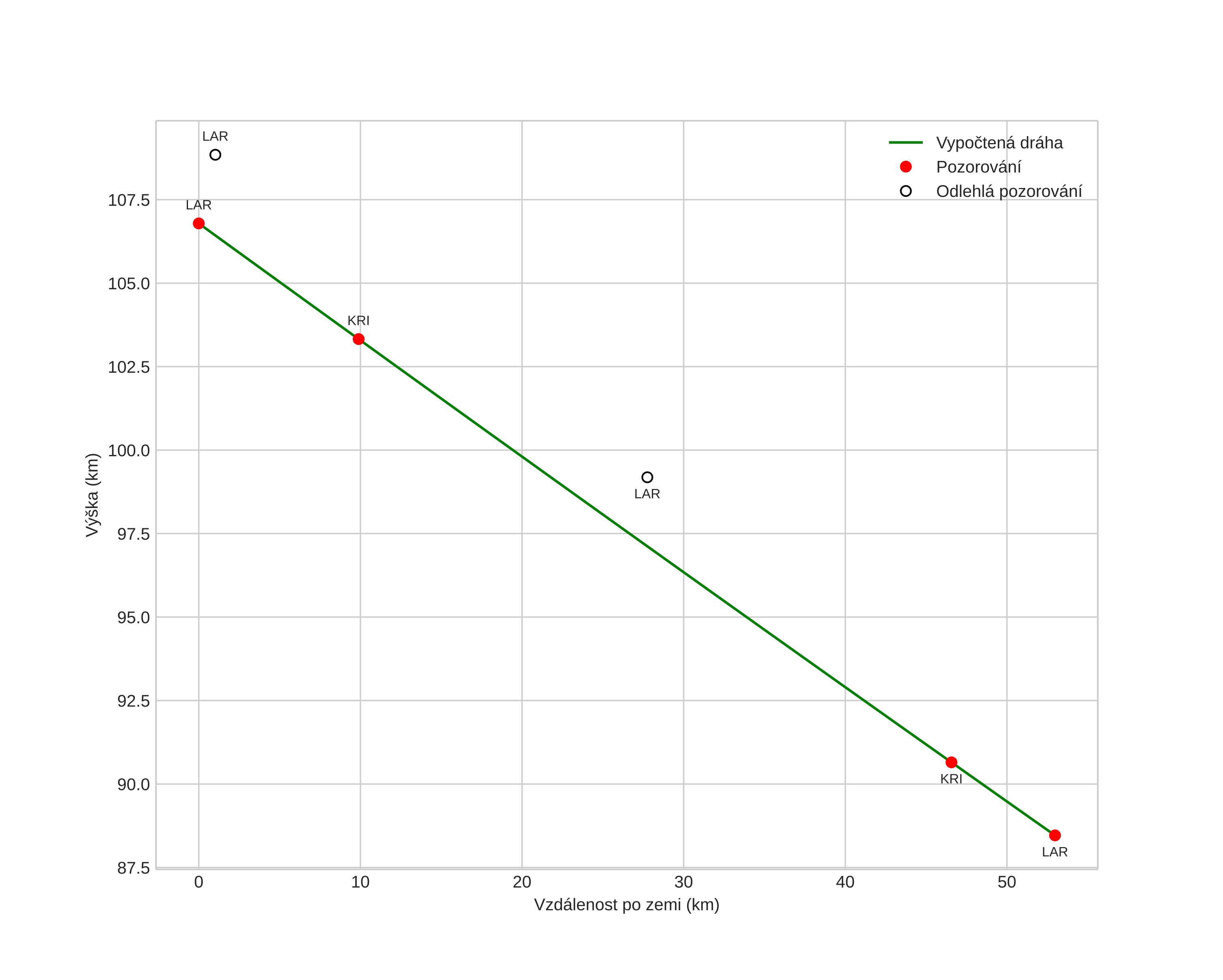
height profile
Atmosférická dráha meteoru:
Počáteční výška: 108,6 km
Konečná výška: 88,4 km
Počáteční poloha: 58,238N 15,680E
Konečná poloha: 57,905N 14,899E
Směr: 231,4°
Sklon: 18,9°
VstupnĂ­ rychlost: 50,8 km/s
Rektascenze radiantu: 17:24 (261,2°)
Deklinace radiantu: 35,2°
MeteorickĂ˝ roj: sporadickĂ˝
Elementy dráhy meteoroidu:
Vzdálenost v periheliu: 0,942 AU
Excentricita: 1,155
Sklon dráhy: 81,4°
Délka vzestupného uzlu: 12,0°
Argument perihelia: 206,7°
Střední anomálie: -1,2°
Epocha: 2021 APR 01 20:01:56
orbit plot

NeinteraktivnĂ­ graf | InteraktivnĂ­ graf

position vs time
speed and acceleration