🇳🇴 🇬🇧 🇩🇪 🇨🇿 🇫🇮

Meteor Anebyn yllä 2021-04-01 20:01:56 UTC

KML-tiedosto  |  Interaktiivinen kartta

Kartta näyttää meteorin suuntahavainnot. Vaaleammat viivat näyttävät suunnat havaintoasemilta meteorin ilmestyessä, ja tummemmat viivat näyttävät, missä se viimeksi nähtiin. Sininen nuoli näyttää meteorin näkyvän lennon.

static map
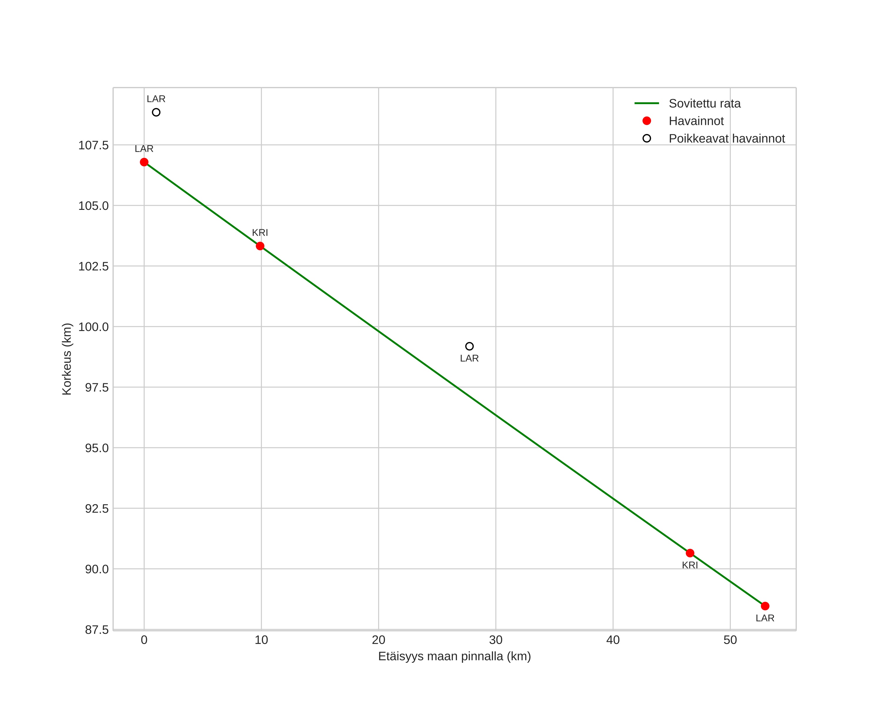
height profile
Meteorin ilmakehärata:
Alkukorkeus: 108,6 km
Loppukorkeus: 88,4 km
Alkupiste: 58,238N 15,680E
Loppupiste: 57,905N 14,899E
Suunta: 231,4°
Kallistuskulma: 18,9°
Tulonopeus: 50,8 km/s
Radiantin R,A,: 17:24 (261,2°)
Radiantin Dekl,: 35,2°
Meteoriparvi: Sporadinen
Meteoroidin rataelementit:
Perihelietäisyys: 0,942 AU
Eksentrisyys: 1,155
Inklinaatio: 81,4°
Nousevan solmun pituus: 12,0°
Perihelin argumentti: 206,7°
Keskianomalia: -1,2°
Epookki: 2021 APR 01 20:01:56
orbit plot

Ei-interaktiivinen kuvaaja | Interaktiivinen kuvaaja

position vs time
speed and acceleration