🇳🇴 🇬🇧 🇩🇪 🇨🇿 🇫🇮

Meteor, poloha: TranĂĄs 2021-04-01 20:01:57 UTC

Soubor KML  |  InteraktivnĂ­ mapa

Mapa zobrazuje dráhy meteoru. Světlejší čáry ukazují směry od pozorovacích stanic při objevení se meteoru a tmavší čáry, kde byl naposledy viděn. Modrá šipka značí viditelnou dráhu meteoru.

static map
height profile
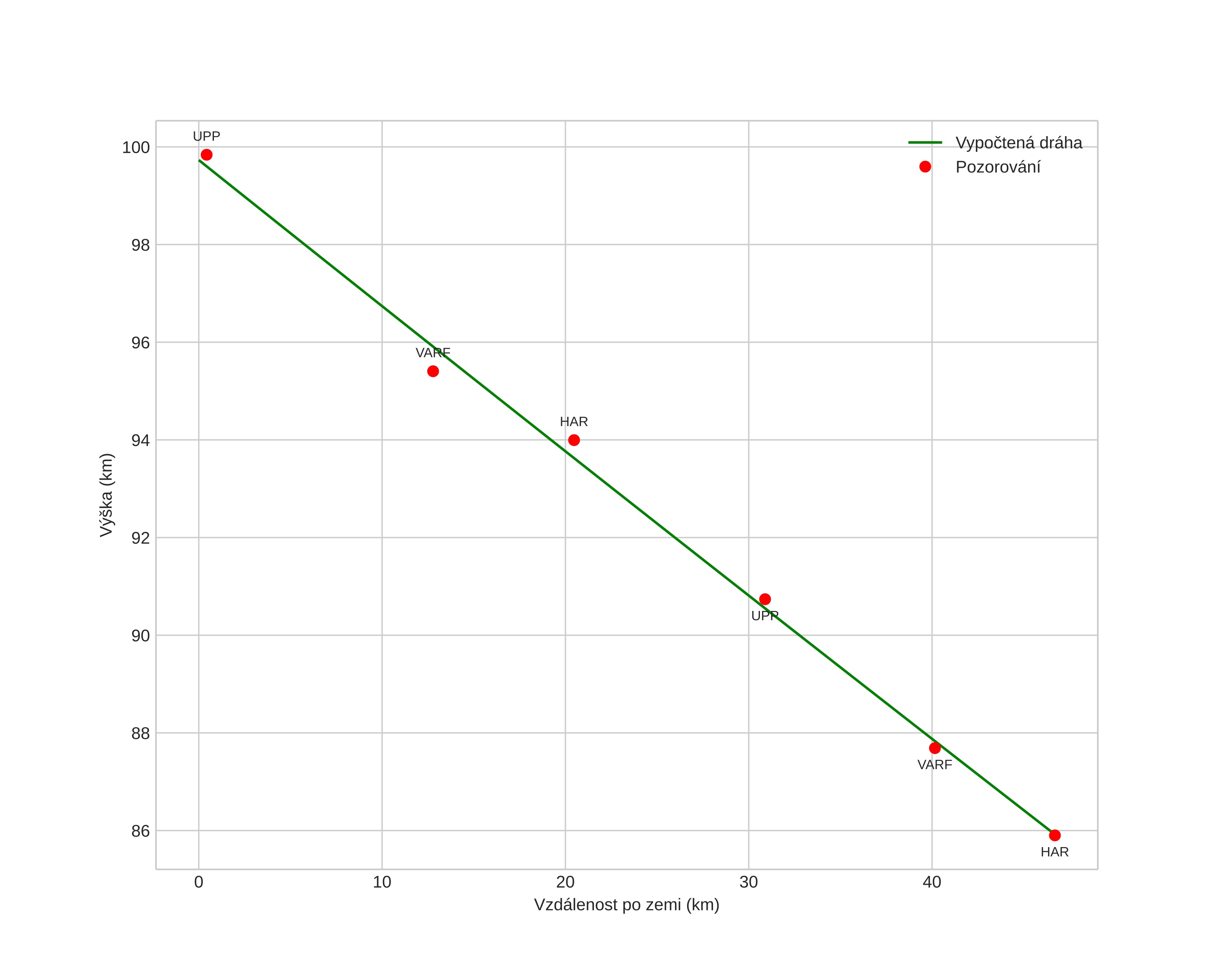
Atmosférická dráha meteoru:
Počáteční výška: 99,7 km
Konečná výška: 87,8 km
Počáteční poloha: 58,224N 15,445E
Konečná poloha: 57,965N 14,955E
Směr: 225,1°
Sklon: 16,3°
VstupnĂ­ rychlost: 42,2 km/s
Rektascenze radiantu: 17:57 (269,3°)
Deklinace radiantu: 35,3°
MeteorickĂ˝ roj: sporadickĂ˝
Elementy dráhy meteoroidu:
Vzdálenost v periheliu: 0,978 AU
Excentricita: 0,484
Sklon dráhy: 75,0°
Délka vzestupného uzlu: 12,0°
Argument perihelia: 200,8°
Střední anomálie: 353,6°
Epocha: 2021 APR 01 20:01:57
orbit plot

NeinteraktivnĂ­ graf | InteraktivnĂ­ graf

position vs time
speed and acceleration