🇳🇴 🇬🇧 🇩🇪 🇨🇿 🇫🇮

Meteor Tranåsin yllä 2021-04-01 20:01:57 UTC

KML-tiedosto  |  Interaktiivinen kartta

Kartta näyttää meteorin suuntahavainnot. Vaaleammat viivat näyttävät suunnat havaintoasemilta meteorin ilmestyessä, ja tummemmat viivat näyttävät, missä se viimeksi nähtiin. Sininen nuoli näyttää meteorin näkyvän lennon.

static map
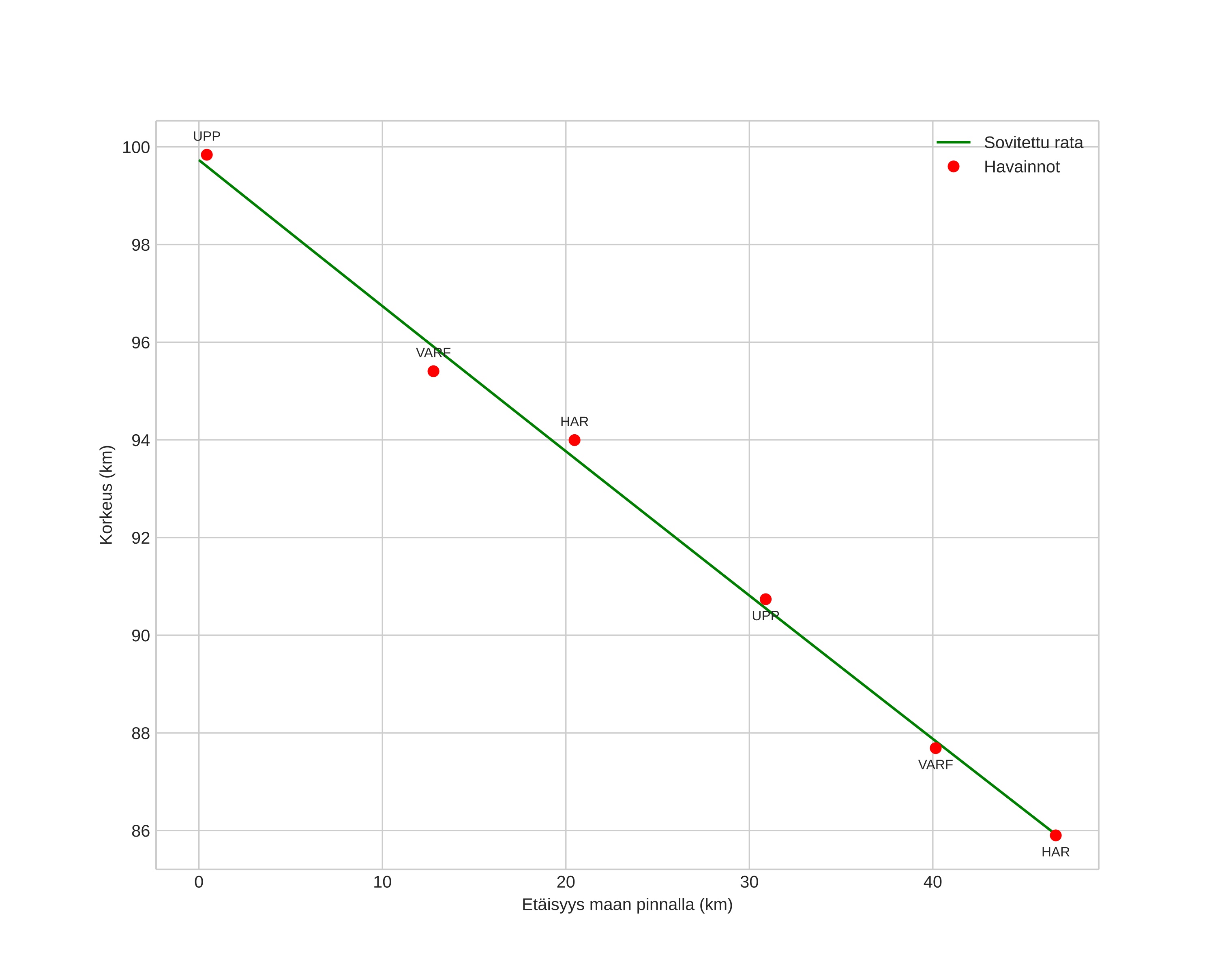
height profile
Meteorin ilmakehärata:
Alkukorkeus: 99,7 km
Loppukorkeus: 87,8 km
Alkupiste: 58,224N 15,445E
Loppupiste: 57,965N 14,955E
Suunta: 225,1°
Kallistuskulma: 16,3°
Tulonopeus: 42,2 km/s
Radiantin R,A,: 17:57 (269,3°)
Radiantin Dekl,: 35,3°
Meteoriparvi: Sporadinen
Meteoroidin rataelementit:
Perihelietäisyys: 0,978 AU
Eksentrisyys: 0,484
Inklinaatio: 75,0°
Nousevan solmun pituus: 12,0°
Perihelin argumentti: 200,8°
Keskianomalia: 353,6°
Epookki: 2021 APR 01 20:01:57
orbit plot

Ei-interaktiivinen kuvaaja | Interaktiivinen kuvaaja

position vs time
speed and acceleration