🇳🇴 🇬🇧 🇩🇪 🇨🇿 🇫🇮

Meteor, poloha: Oxelösund 2021-04-03 23:04:42 UTC

Soubor KML  |  Interaktivní mapa

Mapa zobrazuje dráhy meteoru. Světlejší čáry ukazují směry od pozorovacích stanic při objevení se meteoru a tmavší čáry, kde byl naposledy viděn. Modrá šipka značí viditelnou dráhu meteoru.

static map
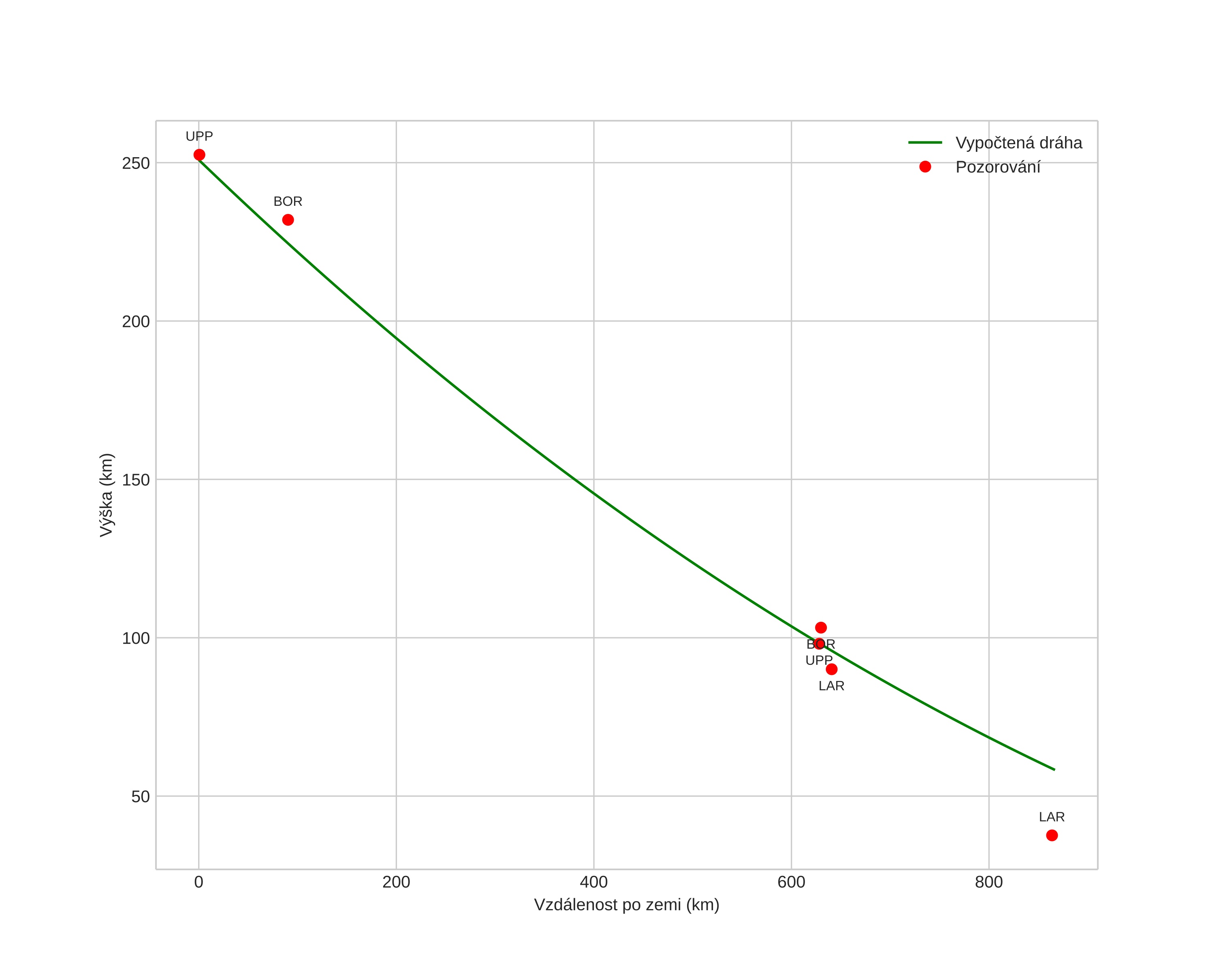
height profile
Atmosférická dráha meteoru:
Počáteční výška: 250,9 km
Konečná výška: 58,3 km
Počáteční poloha: 53,635N 28,914E
Konečná poloha: 58,127N 17,521E
Směr: 309,7°
Sklon: 12,5°
position vs time
speed and acceleration