🇳🇴 🇬🇧 🇩🇪 🇨🇿 🇫🇮

Meteor, poloha: Malung 2021-04-04 00:10:30 UTC

Soubor KML  |  InteraktivnĂ­ mapa

Mapa zobrazuje dráhy meteoru. Světlejší čáry ukazují směry od pozorovacích stanic při objevení se meteoru a tmavší čáry, kde byl naposledy viděn. Modrá šipka značí viditelnou dráhu meteoru.

static map
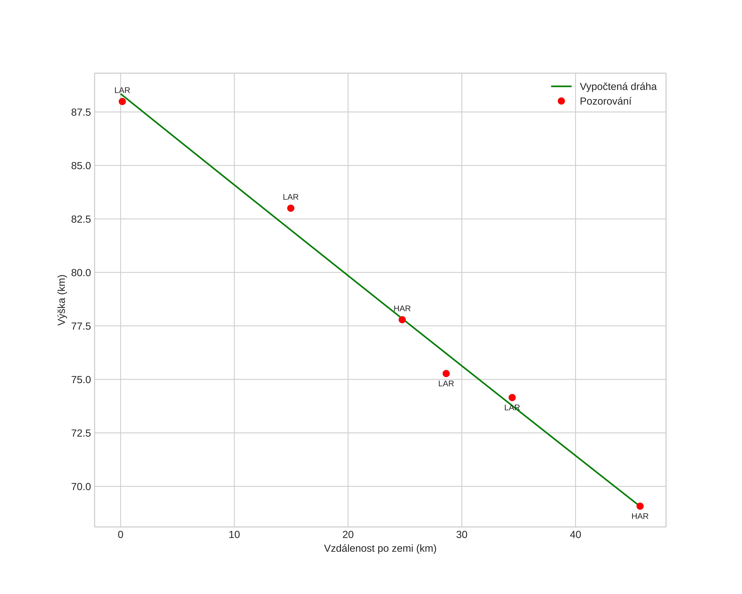
height profile
Atmosférická dráha meteoru:
Počáteční výška: 91,2 km
Konečná výška: 68,2 km
Počáteční poloha: 61,512N 13,244E
Konečná poloha: 61,045N 13,186E
Směr: 183,4°
Sklon: 23,8°
VstupnĂ­ rychlost: 19,3 km/s
Rektascenze radiantu: 01:37 (24,4°)
Deklinace radiantu: 44,7°
MeteorickĂ˝ roj: sporadickĂ˝
Elementy dráhy meteoroidu:
Vzdálenost v periheliu: 0,875 AU
Excentricita: 0,729
Sklon dráhy: 13,2°
Délka vzestupného uzlu: 14,2°
Argument perihelia: 134,8°
Střední anomálie: 5,3°
Epocha: 2021 APR 04 00:10:30
orbit plot

NeinteraktivnĂ­ graf | InteraktivnĂ­ graf

position vs time
speed and acceleration