🇳🇴 🇬🇧 🇩🇪 🇨🇿 🇫🇮

Meteor Malungin yllä 2021-04-04 00:10:30 UTC

KML-tiedosto  |  Interaktiivinen kartta

Kartta näyttää meteorin suuntahavainnot. Vaaleammat viivat näyttävät suunnat havaintoasemilta meteorin ilmestyessä, ja tummemmat viivat näyttävät, missä se viimeksi nähtiin. Sininen nuoli näyttää meteorin näkyvän lennon.

static map
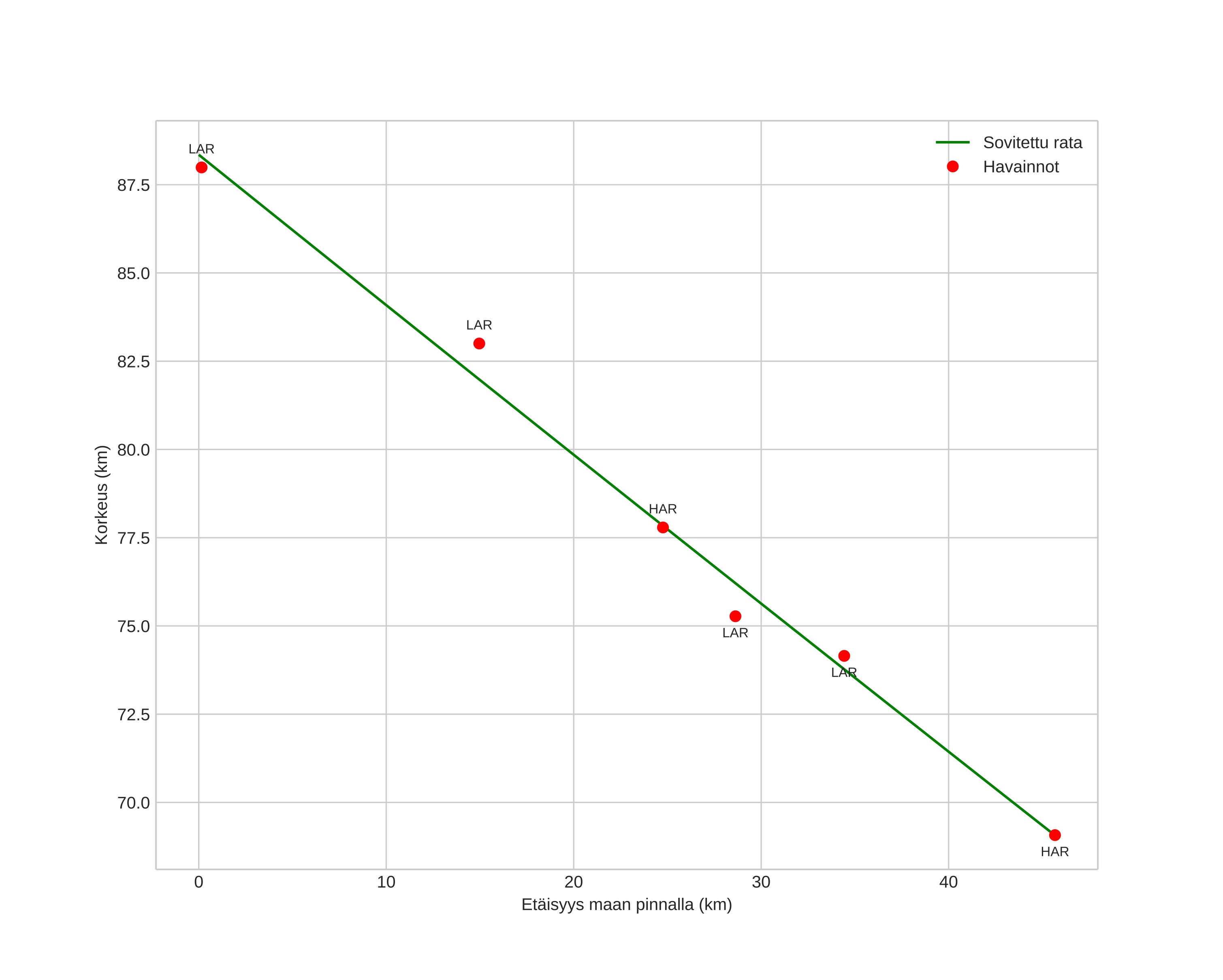
height profile
Meteorin ilmakehärata:
Alkukorkeus: 91,2 km
Loppukorkeus: 68,2 km
Alkupiste: 61,512N 13,244E
Loppupiste: 61,045N 13,186E
Suunta: 183,4°
Kallistuskulma: 23,8°
Tulonopeus: 19,3 km/s
Radiantin R,A,: 01:37 (24,4°)
Radiantin Dekl,: 44,7°
Meteoriparvi: Sporadinen
Meteoroidin rataelementit:
Perihelietäisyys: 0,875 AU
Eksentrisyys: 0,729
Inklinaatio: 13,2°
Nousevan solmun pituus: 14,2°
Perihelin argumentti: 134,8°
Keskianomalia: 5,3°
Epookki: 2021 APR 04 00:10:30
orbit plot

Ei-interaktiivinen kuvaaja | Interaktiivinen kuvaaja

position vs time
speed and acceleration