🇳🇴 🇬🇧 🇩🇪 🇨🇿 🇫🇮

Meteor, poloha: Västra Hagen 2021-04-05 01:28:43 UTC

Soubor KML  |  InteraktivnĂ­ mapa

Mapa zobrazuje dráhy meteoru. Světlejší čáry ukazují směry od pozorovacích stanic při objevení se meteoru a tmavší čáry, kde byl naposledy viděn. Modrá šipka značí viditelnou dráhu meteoru.

static map
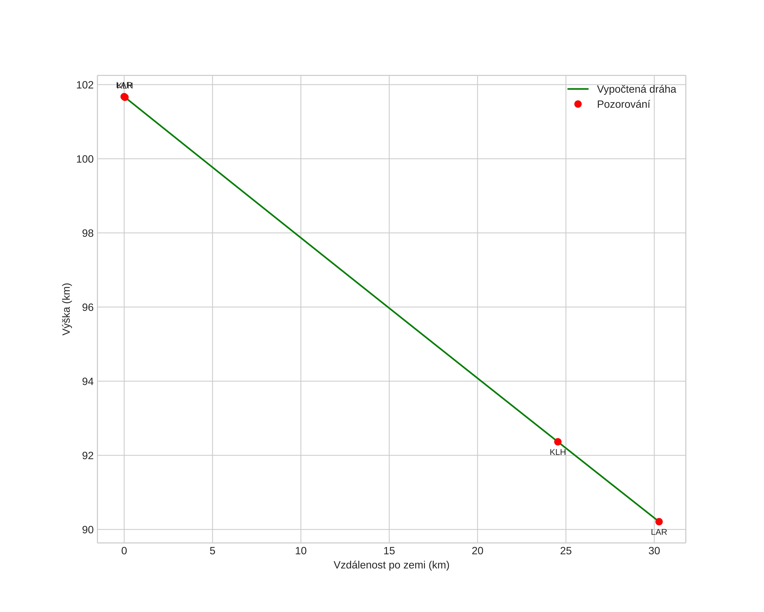
height profile
Atmosférická dráha meteoru:
Počáteční výška: 101,5 km
Konečná výška: 90,3 km
Počáteční poloha: 57,306N 11,999E
Konečná poloha: 57,179N 11,557E
Směr: 242,1°
Sklon: 20,4°
VstupnĂ­ rychlost: 46,1 km/s
Rektascenze radiantu: 22:02 (330,6°)
Deklinace radiantu: 31,0°
MeteorickĂ˝ roj: sporadickĂ˝
Elementy dráhy meteoroidu:
Vzdálenost v periheliu: 0,534 AU
Excentricita: 1,088
Sklon dráhy: 65,1°
Délka vzestupného uzlu: 15,2°
Argument perihelia: 96,1°
Střední anomálie: 2,4°
Epocha: 2021 APR 05 01:28:43
orbit plot

NeinteraktivnĂ­ graf | InteraktivnĂ­ graf

position vs time
speed and acceleration