🇳🇴 🇬🇧 🇩🇪 🇨🇿 🇫🇮

Meteor Västra Hagenin yllä 2021-04-05 01:28:43 UTC

KML-tiedosto  |  Interaktiivinen kartta

Kartta näyttää meteorin suuntahavainnot. Vaaleammat viivat näyttävät suunnat havaintoasemilta meteorin ilmestyessä, ja tummemmat viivat näyttävät, missä se viimeksi nähtiin. Sininen nuoli näyttää meteorin näkyvän lennon.

static map
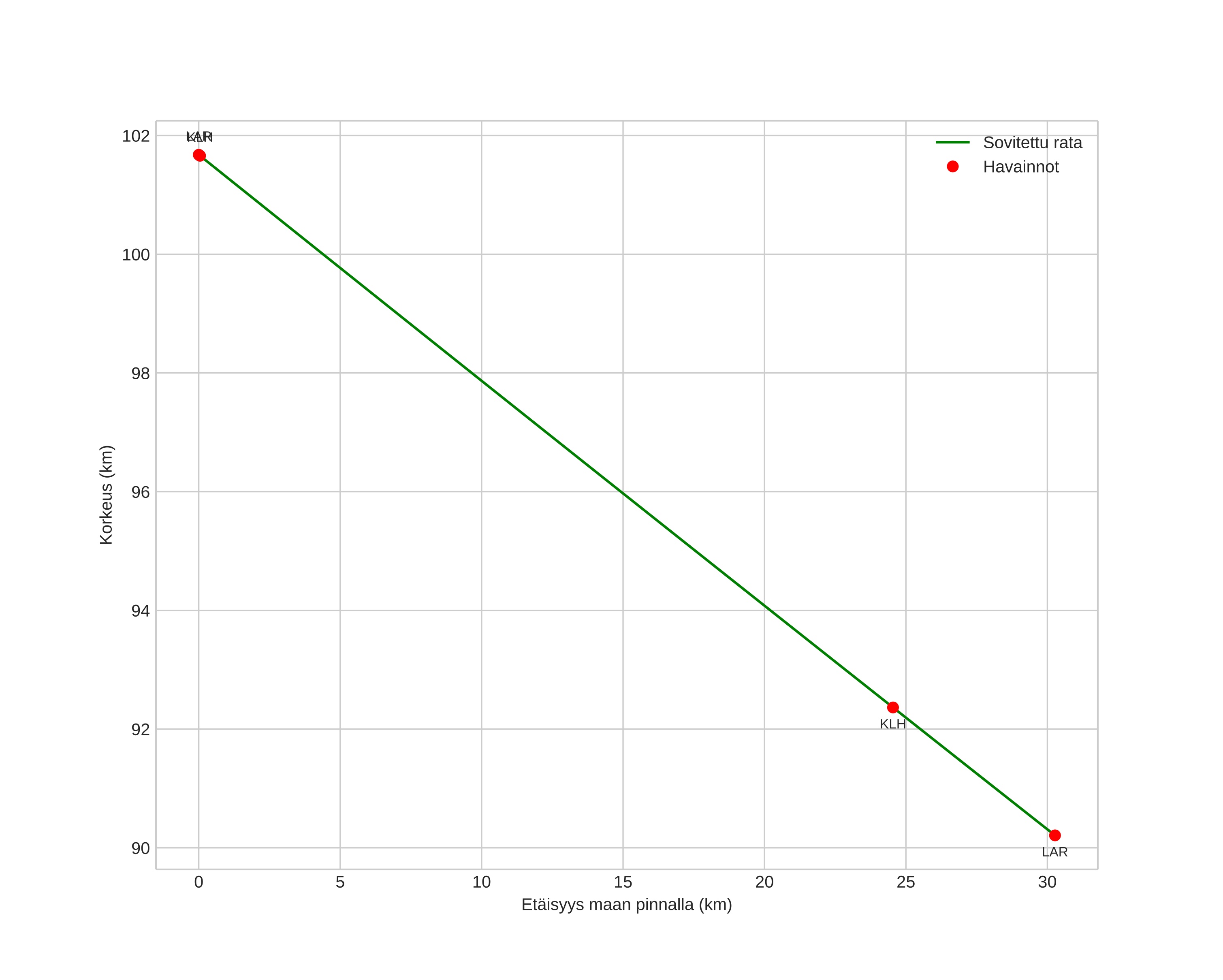
height profile
Meteorin ilmakehärata:
Alkukorkeus: 101,5 km
Loppukorkeus: 90,3 km
Alkupiste: 57,306N 11,999E
Loppupiste: 57,179N 11,557E
Suunta: 242,1°
Kallistuskulma: 20,4°
Tulonopeus: 46,1 km/s
Radiantin R,A,: 22:02 (330,6°)
Radiantin Dekl,: 31,0°
Meteoriparvi: Sporadinen
Meteoroidin rataelementit:
Perihelietäisyys: 0,534 AU
Eksentrisyys: 1,088
Inklinaatio: 65,1°
Nousevan solmun pituus: 15,2°
Perihelin argumentti: 96,1°
Keskianomalia: 2,4°
Epookki: 2021 APR 05 01:28:43
orbit plot

Ei-interaktiivinen kuvaaja | Interaktiivinen kuvaaja

position vs time
speed and acceleration