🇳🇴 🇬🇧 🇩🇪 🇨🇿 🇫🇮

Meteor, poloha: Njurundabommen 2021-04-06 00:31:38 UTC

Soubor KML  |  InteraktivnĂ­ mapa

Mapa zobrazuje dráhy meteoru. Světlejší čáry ukazují směry od pozorovacích stanic při objevení se meteoru a tmavší čáry, kde byl naposledy viděn. Modrá šipka značí viditelnou dráhu meteoru.

static map
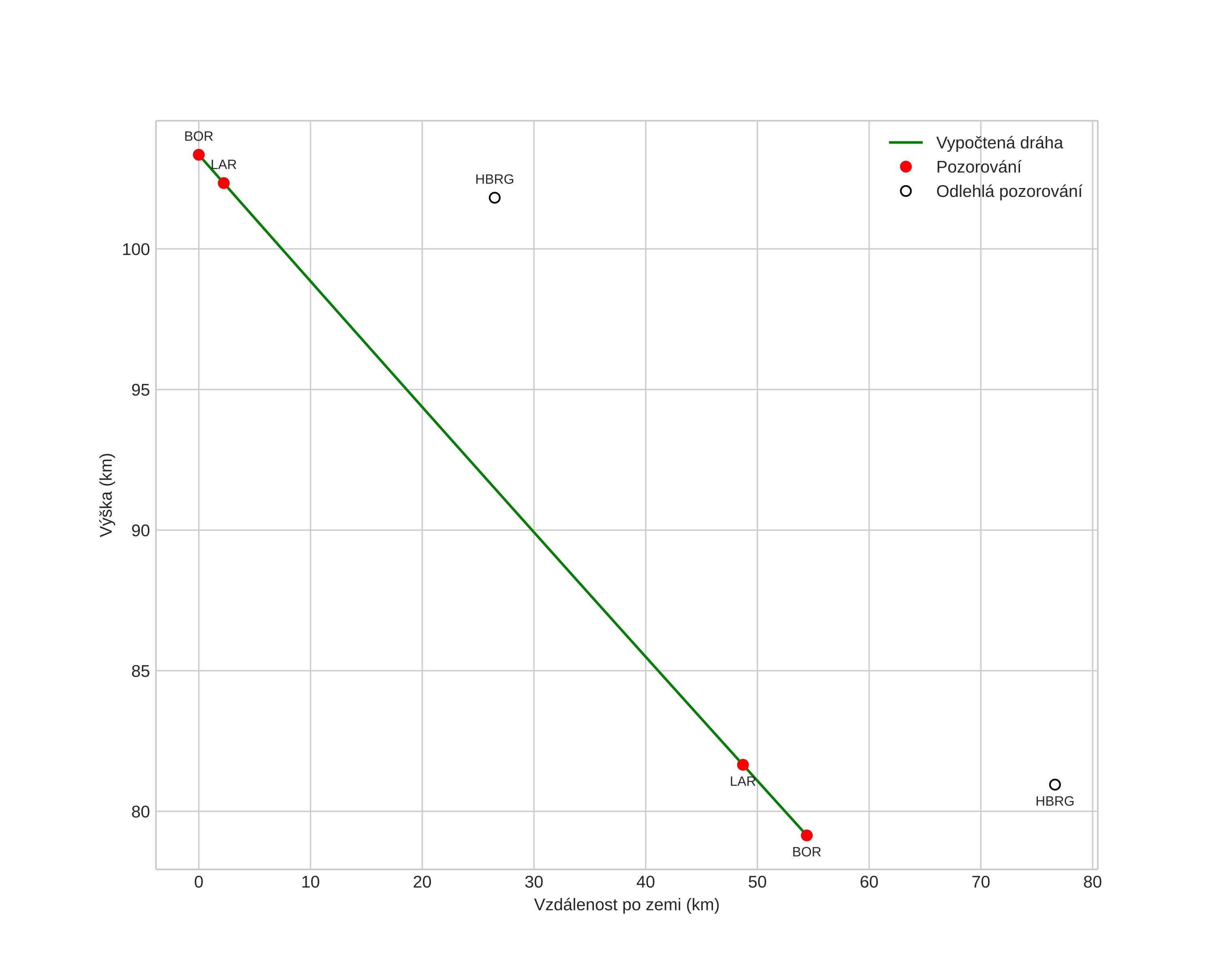
height profile
Atmosférická dráha meteoru:
Počáteční výška: 104,9 km
Konečná výška: 81,0 km
Počáteční poloha: 61,687N 17,850E
Konečná poloha: 62,168N 17,519E
Směr: 342,2°
Sklon: 23,0°
VstupnĂ­ rychlost: 60,1 km/s
Rektascenze radiantu: 15:44 (236,2°)
Deklinace radiantu: -4,7°
MeteorickĂ˝ roj: sporadickĂ˝
Elementy dráhy meteoroidu:
Vzdálenost v periheliu: 0,142 AU
Excentricita: 1,067
Sklon dráhy: 111,9°
Délka vzestupného uzlu: 16,1°
Argument perihelia: 311,5°
Střední anomálie: -9,5°
Epocha: 2021 APR 06 00:31:38
orbit plot

NeinteraktivnĂ­ graf | InteraktivnĂ­ graf

position vs time
speed and acceleration