🇳🇴 🇬🇧 🇩🇪 🇨🇿 🇫🇮

Meteor Njurundabommenin yllä 2021-04-06 00:31:38 UTC

KML-tiedosto  |  Interaktiivinen kartta

Kartta näyttää meteorin suuntahavainnot. Vaaleammat viivat näyttävät suunnat havaintoasemilta meteorin ilmestyessä, ja tummemmat viivat näyttävät, missä se viimeksi nähtiin. Sininen nuoli näyttää meteorin näkyvän lennon.

static map
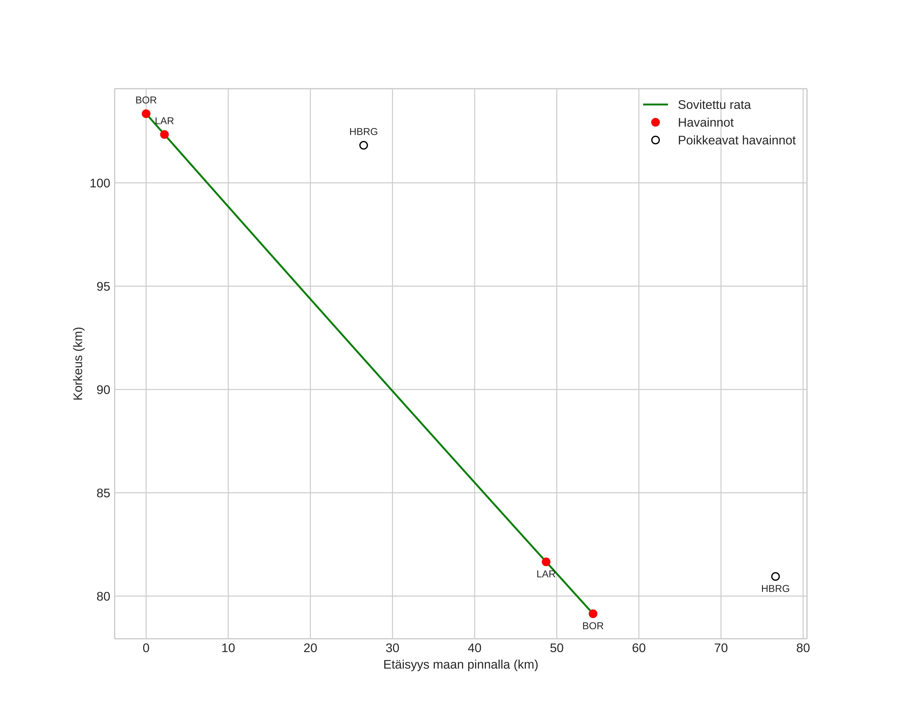
height profile
Meteorin ilmakehärata:
Alkukorkeus: 104,9 km
Loppukorkeus: 81,0 km
Alkupiste: 61,687N 17,850E
Loppupiste: 62,168N 17,519E
Suunta: 342,2°
Kallistuskulma: 23,0°
Tulonopeus: 60,1 km/s
Radiantin R,A,: 15:44 (236,2°)
Radiantin Dekl,: -4,7°
Meteoriparvi: Sporadinen
Meteoroidin rataelementit:
Perihelietäisyys: 0,142 AU
Eksentrisyys: 1,067
Inklinaatio: 111,9°
Nousevan solmun pituus: 16,1°
Perihelin argumentti: 311,5°
Keskianomalia: -9,5°
Epookki: 2021 APR 06 00:31:38
orbit plot

Ei-interaktiivinen kuvaaja | Interaktiivinen kuvaaja

position vs time
speed and acceleration