🇳🇴 🇬🇧 🇩🇪 🇨🇿 🇫🇮

Meteor, poloha: Tonstad 2021-04-06 01:00:07 UTC

Soubor KML  |  InteraktivnĂ­ mapa

Mapa zobrazuje dráhy meteoru. Světlejší čáry ukazují směry od pozorovacích stanic při objevení se meteoru a tmavší čáry, kde byl naposledy viděn. Modrá šipka značí viditelnou dráhu meteoru.

static map
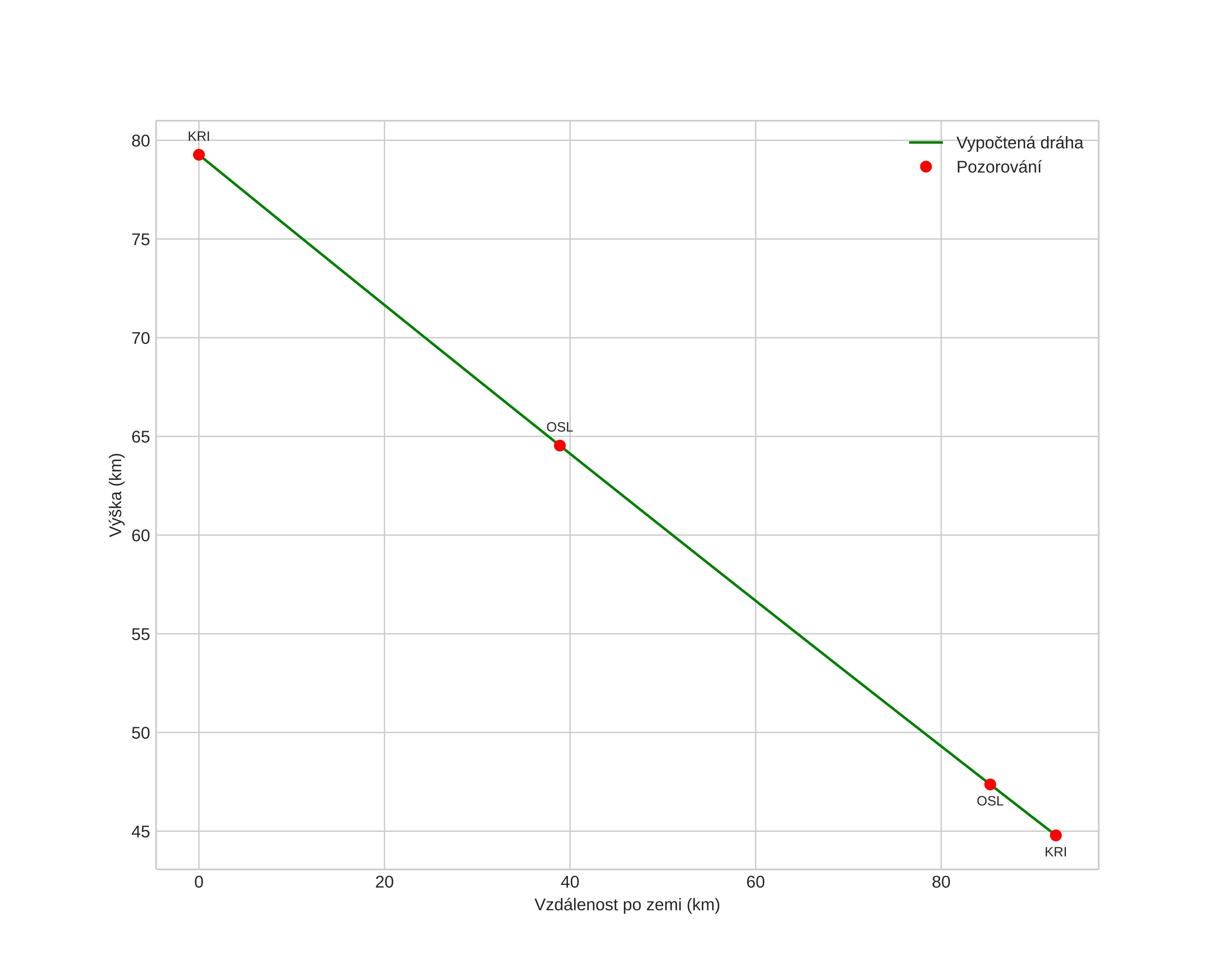
height profile
Atmosférická dráha meteoru:
Počáteční výška: 73,9 km
Konečná výška: 47,1 km
Počáteční poloha: 58,802N 5,306E
Konečná poloha: 58,725N 6,593E
Směr: 96,0°
Sklon: 19,7°
VstupnĂ­ rychlost: 11,9 km/s
Rektascenze radiantu: 07:28 (112,0°)
Deklinace radiantu: -9,2°
MeteorickĂ˝ roj: sporadickĂ˝
Elementy dráhy meteoroidu:
Vzdálenost v periheliu: 1,001 AU
Excentricita: 0,302
Sklon dráhy: 4,2°
Délka vzestupného uzlu: 196,2°
Argument perihelia: 1,2°
Střední anomálie: 359,4°
Epocha: 2021 APR 06 01:00:07
orbit plot

NeinteraktivnĂ­ graf | InteraktivnĂ­ graf

position vs time
speed and acceleration