🇳🇴 🇬🇧 🇩🇪 🇨🇿 🇫🇮

Meteor Tonstadin yllä 2021-04-06 01:00:07 UTC

KML-tiedosto  |  Interaktiivinen kartta

Kartta näyttää meteorin suuntahavainnot. Vaaleammat viivat näyttävät suunnat havaintoasemilta meteorin ilmestyessä, ja tummemmat viivat näyttävät, missä se viimeksi nähtiin. Sininen nuoli näyttää meteorin näkyvän lennon.

static map
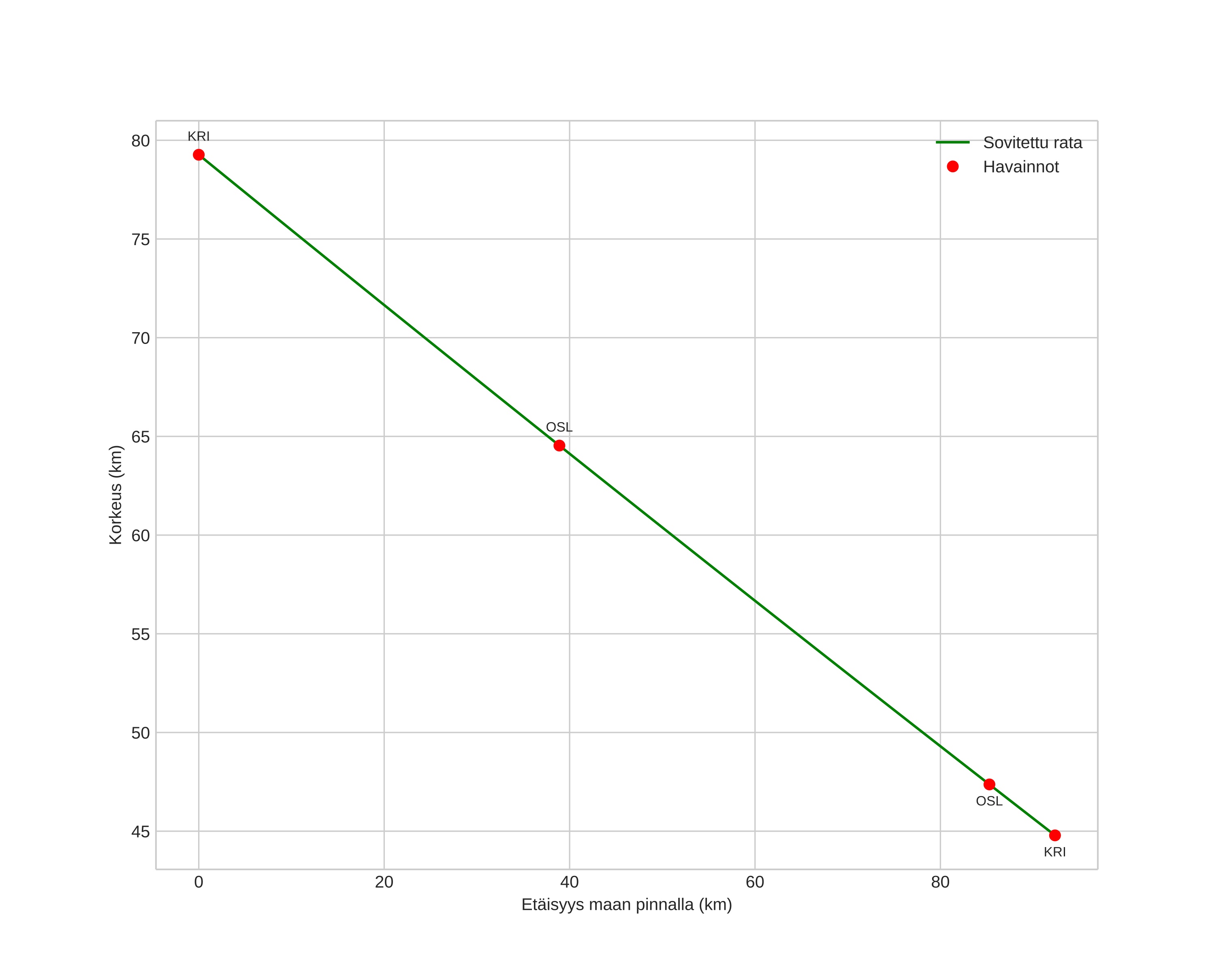
height profile
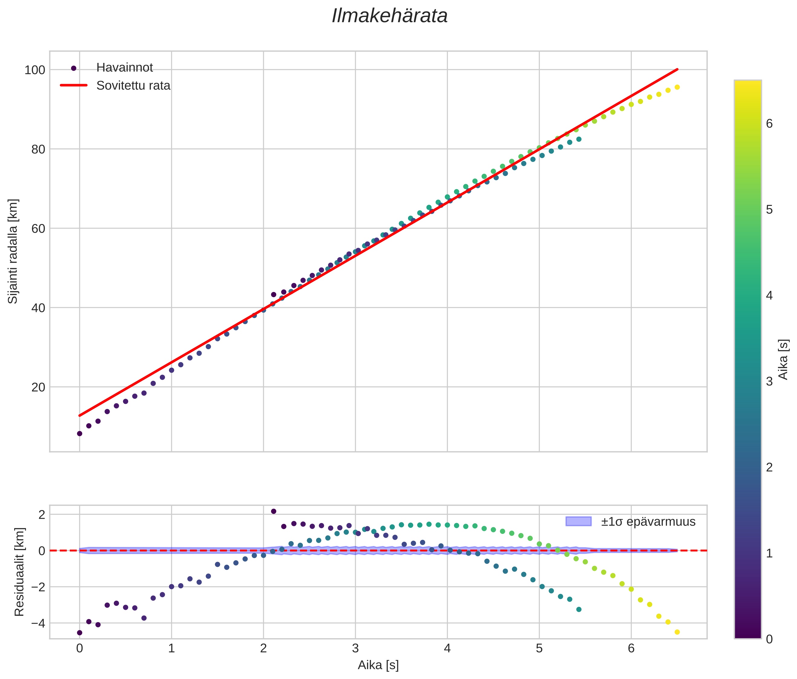
Meteorin ilmakehärata:
Alkukorkeus: 73,9 km
Loppukorkeus: 47,1 km
Alkupiste: 58,802N 5,306E
Loppupiste: 58,725N 6,593E
Suunta: 96,0°
Kallistuskulma: 19,7°
Tulonopeus: 11,9 km/s
Radiantin R,A,: 07:28 (112,0°)
Radiantin Dekl,: -9,2°
Meteoriparvi: Sporadinen
Meteoroidin rataelementit:
Perihelietäisyys: 1,001 AU
Eksentrisyys: 0,302
Inklinaatio: 4,2°
Nousevan solmun pituus: 196,2°
Perihelin argumentti: 1,2°
Keskianomalia: 359,4°
Epookki: 2021 APR 06 01:00:07
orbit plot

Ei-interaktiivinen kuvaaja | Interaktiivinen kuvaaja

position vs time
speed and acceleration