🇳🇴 🇬🇧 🇩🇪 🇨🇿 🇫🇮

Meteor, poloha: Rotnes 2021-04-06 21:49:07 UTC

Soubor KML  |  InteraktivnĂ­ mapa

Mapa zobrazuje dráhy meteoru. Světlejší čáry ukazují směry od pozorovacích stanic při objevení se meteoru a tmavší čáry, kde byl naposledy viděn. Modrá šipka značí viditelnou dráhu meteoru.

static map
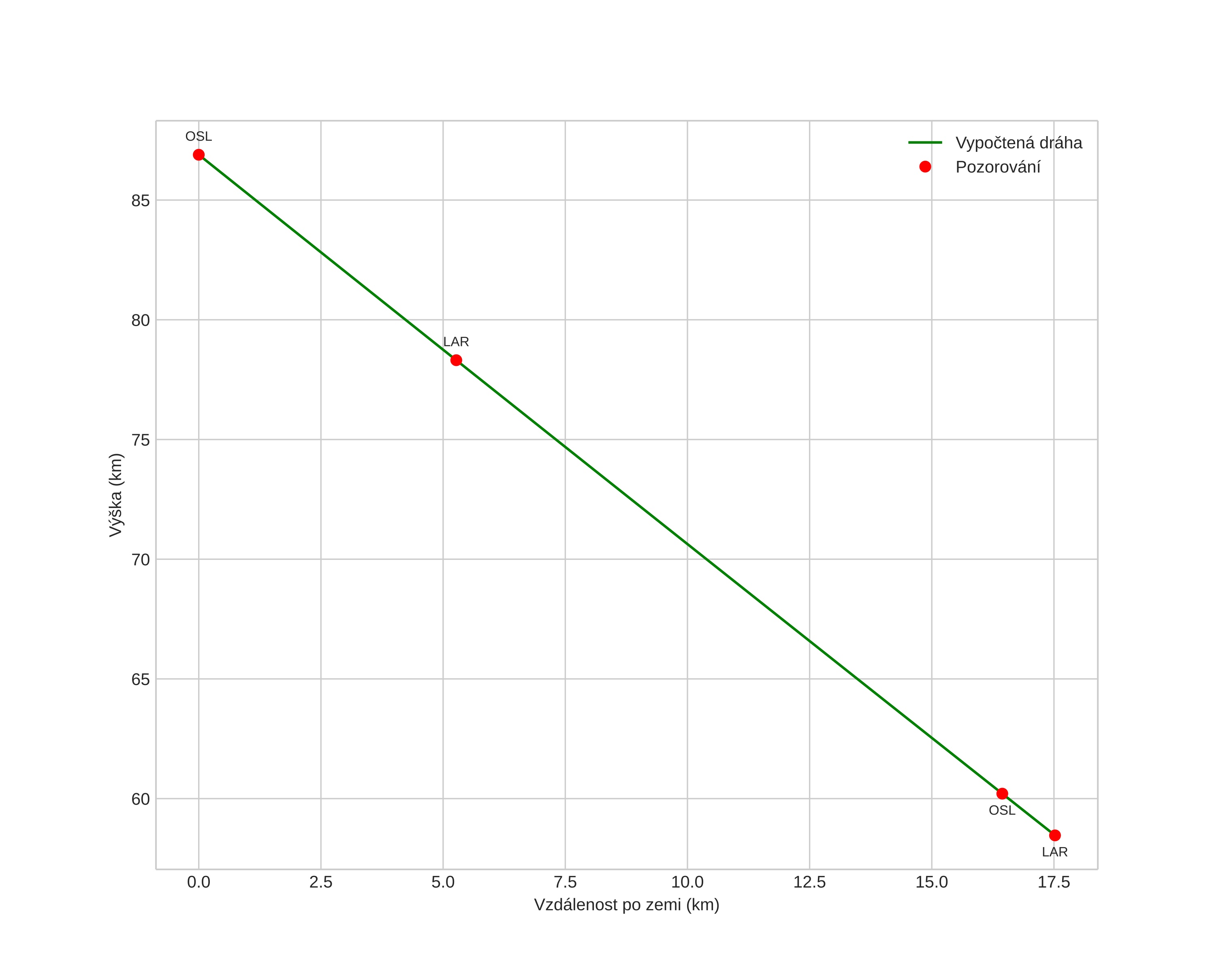
height profile
Atmosférická dráha meteoru:
Počáteční výška: 76,1 km
Konečná výška: 53,3 km
Počáteční poloha: 59,932N 10,715E
Konečná poloha: 60,074N 10,712E
Směr: 359,4°
Sklon: 55,2°
VstupnĂ­ rychlost: 13,6 km/s
Rektascenze radiantu: 11:28 (172,2°)
Deklinace radiantu: 15,5°
MeteorickĂ˝ roj: sporadickĂ˝
Elementy dráhy meteoroidu:
Vzdálenost v periheliu: 0,939 AU
Excentricita: 0,366
Sklon dráhy: 2,6°
Délka vzestupného uzlu: 17,0°
Argument perihelia: 219,8°
Střední anomálie: 342,0°
Epocha: 2021 APR 06 21:49:07
orbit plot

NeinteraktivnĂ­ graf | InteraktivnĂ­ graf

position vs time
speed and acceleration